Poslední aktualizace :
27/04/2026
Antiarytmikum   Propafenone Hydrochloride  
Perorální roztok
injekce
Stabilita farmaceutických přípravků Stabilita směsí Faktory ovlivňující stabilitu Kompatibilita Odkazy pdf
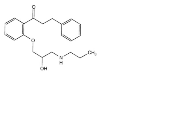
   Chemický vzorec  

Perorální roztok

Faktory ovlivňující stabilitu   Perorální roztok   Faktory ovlivňující stabilitu : Propafenone Hydrochloride        
žádná data

  Mentions Légales