Τελευταία ενημέρωση :
27/04/2026
Αντιαρρυθμικό   Propafenone Hydrochloride  
Πόσιμο διάλυμα
Ενέσιμο
Σταθερότητα και συμβατότητα των φαρμάκων Σταθερότητα σε μίγματα Παράγοντας που επηρεάζει τη σταθερότητα Συμβατότητες Βιβλιογραφία pdf
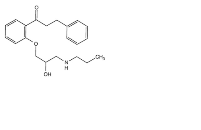
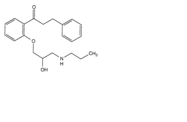
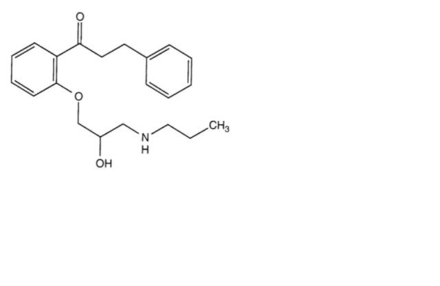
   χημική δομή  

Πόσιμο διάλυμα

Παράγοντας που επηρεάζει τη σταθερότητα   Πόσιμο διάλυμα   Παράγοντας που επηρεάζει τη σταθερότητα : Propafenone Hydrochloride        
Δεν υπάρχουν πληροφορίες

  Mentions Légales