Senaste uppdateringen :
27/04/2026
Antiarrytmikum   Propafenone Hydrochloride  
Oral lösning
injektion
Stabilitet av läkemedel Stabilitet i blandningar Faktorer som påverkar stabiliteten Kompatibilitet Hänvisningar pdf
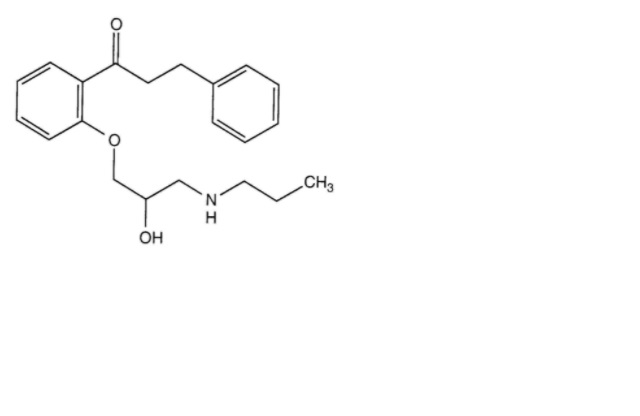
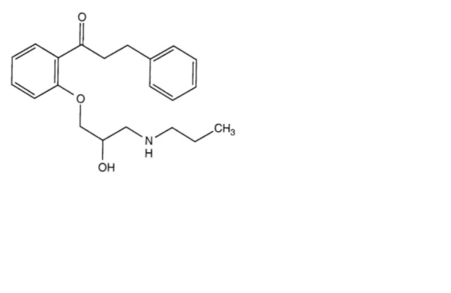
   Molekylstruktur  

Oral lösning

Faktorer som påverkar stabiliteten   Oral lösning   Faktorer som påverkar stabiliteten : Propafenone Hydrochloride        
Ingen uppgift

  Mentions Légales