Ultimele actualizari :
27/04/2026
Vasodilatator   Ambrisentan  
Soluţie orală
Stabilitatea preparatelor farmaceutice Stabilitatea in amestec Factorii care influenteaza stabilitatea Compatibilitate Bibliografie pdf
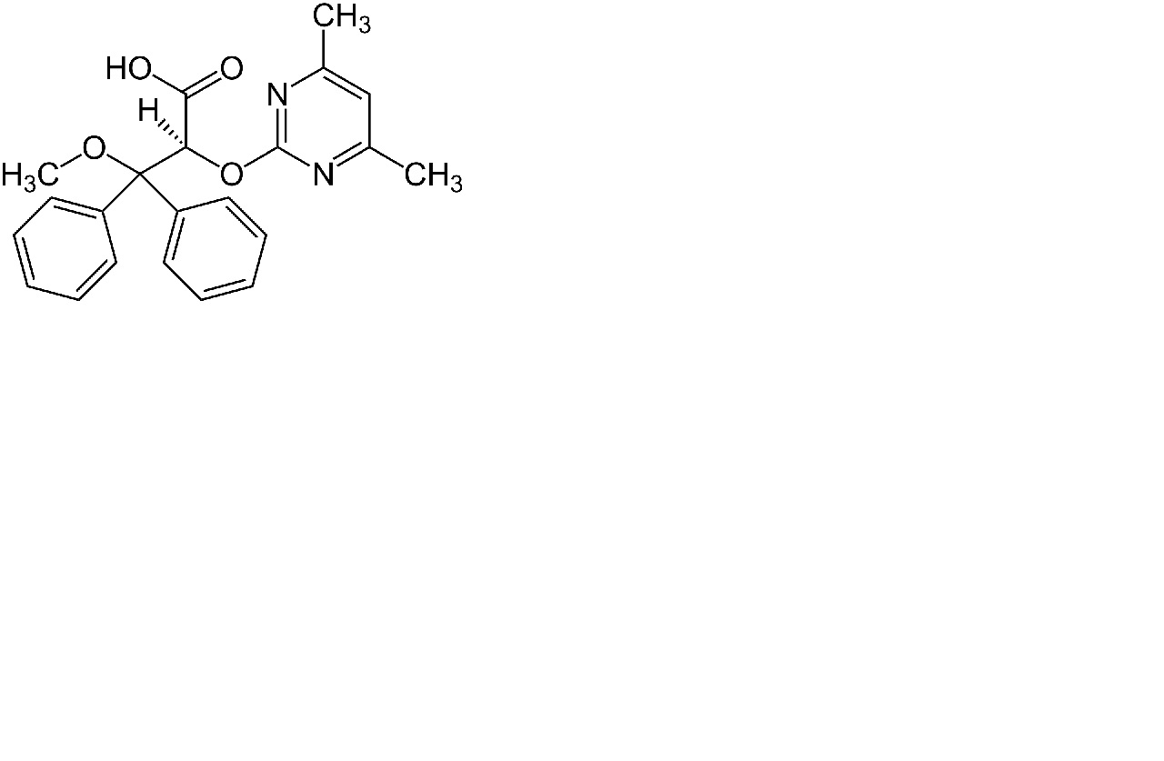
   Formula chimica  

Soluţie orală
Stabilitatea preparatelor farmaceutice   Soluţie orală   Stabilitatea preparatelor farmaceutice : Ambrisentan     
Continut Origine Excipient Temperatura Conservare Durata stabilității Bibiografie
Sticla din plastic Comprimate 30 mg
® = Gilead Sciences
Glicerină 2,5 mL
OraPlus® 15 mL
Orasweet® 12,5 mL
21-27°C Ferit de lumina
90 Ziua
4560
Nivel de evidență D

Sticla din plastic Comprimate 30 mg
® = Gilead Sciences
Glicerină 2,5 mL
OraPlus® 15 mL
Orasweet® 12,5 mL
3,2-4,8°C Ferit de lumina
90 Ziua
4560
Nivel de evidență D


  Mentions Légales