آخر تحديث :
27/04/2026
موسع الشرايين   Ambrisentan  
عن طريق الفم
استقرار المستحضرات الصيدلانية استقرار مخاليط العوامل التي تؤثر على الاستقرار التوافق مراجع pdf
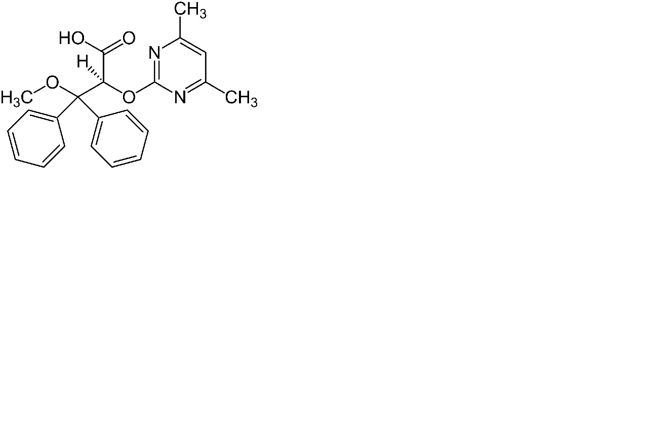
   التركيب الكيميائي  

عن طريق الفم
استقرار المستحضرات الصيدلانية   عن طريق الفم     استقرار المستحضرات الصيدلانية : Ambrisentan     
حاوية Origine الاضافات درجة الحرارة تخزين مدة الاستقرار مراجع
زجاجة من البلاستيك أقراص 30 mg
® = Gilead Sciences
الجلسرين 2,5 mL
OraPlus® 15 mL
Orasweet ® 12,5 mL
21-27°C بعيدا عن الضوء
90 يوم
4560
D مستوى الأدلة

زجاجة من البلاستيك أقراص 30 mg
® = Gilead Sciences
الجلسرين 2,5 mL
OraPlus® 15 mL
Orasweet ® 12,5 mL
3,2-4,8°C بعيدا عن الضوء
90 يوم
4560
D مستوى الأدلة


  Mentions Légales