Ostatnia aktualizacja :
27/04/2026
Lek rozszerzający naczynia   Ambrisentan  
Roztwór doustny
Stabilność preparatów farmaceutycznych Trwałość w mieszaninie Czynnik wpływający na trwałość Zgodność Bibliografia pdf
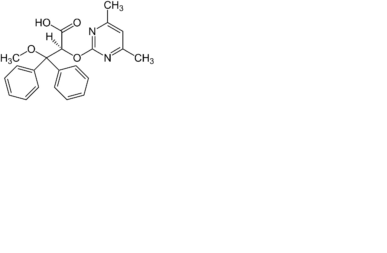
   Struktura chemiczna  

Roztwór doustny
Stabilność preparatów farmaceutycznych   Roztwór doustny   Stabilność preparatów farmaceutycznych : Ambrisentan     
Pojemnik Origine Substancja pomocniczna Temperatura Przechowywanie Czas trwania stabilności Bibliografia
Butelka plastikowa Tabletki 30 mg
® = Gilead Sciences
Gliceryna 2,5 mL
OraPlus® 15 mL
Orasweet® 12,5 mL
21-27°C Chronić od światła
90 Dzień
4560
Poziom wiarygodności D

Butelka plastikowa Tabletki 30 mg
® = Gilead Sciences
Gliceryna 2,5 mL
OraPlus® 15 mL
Orasweet® 12,5 mL
3,2-4,8°C Chronić od światła
90 Dzień
4560
Poziom wiarygodności D


  Mentions Légales