最新更新 :
27/01/2026
扩张血管药   Ambrisentan  
口服剂
制剂的稳定性 混合物稳定性 影响稳定性的因素 兼容性 引用文献 PDF
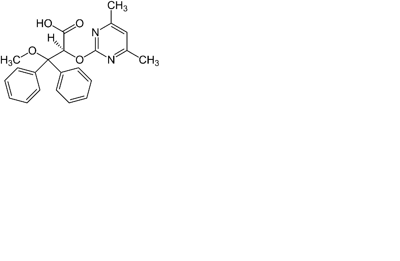
   化学式  

口服剂
制剂的稳定性   口服剂   制剂的稳定性 : Ambrisentan     
容器 Origine 添加剂 温度 保存 穩定持續時間 引用文献
塑料瓶 片剂 30 mg
® = Gilead Sciences
甘油 2,5 mL
OraPlus® 15 mL
Orasweet® 12,5 mL
21-27°C 避光
90 白天
4560
D级

塑料瓶 片剂 30 mg
® = Gilead Sciences
甘油 2,5 mL
OraPlus® 15 mL
Orasweet® 12,5 mL
3,2-4,8°C 避光
90 白天
4560
D级


  Mentions Légales