Posledná aktualizácia :
27/01/2026
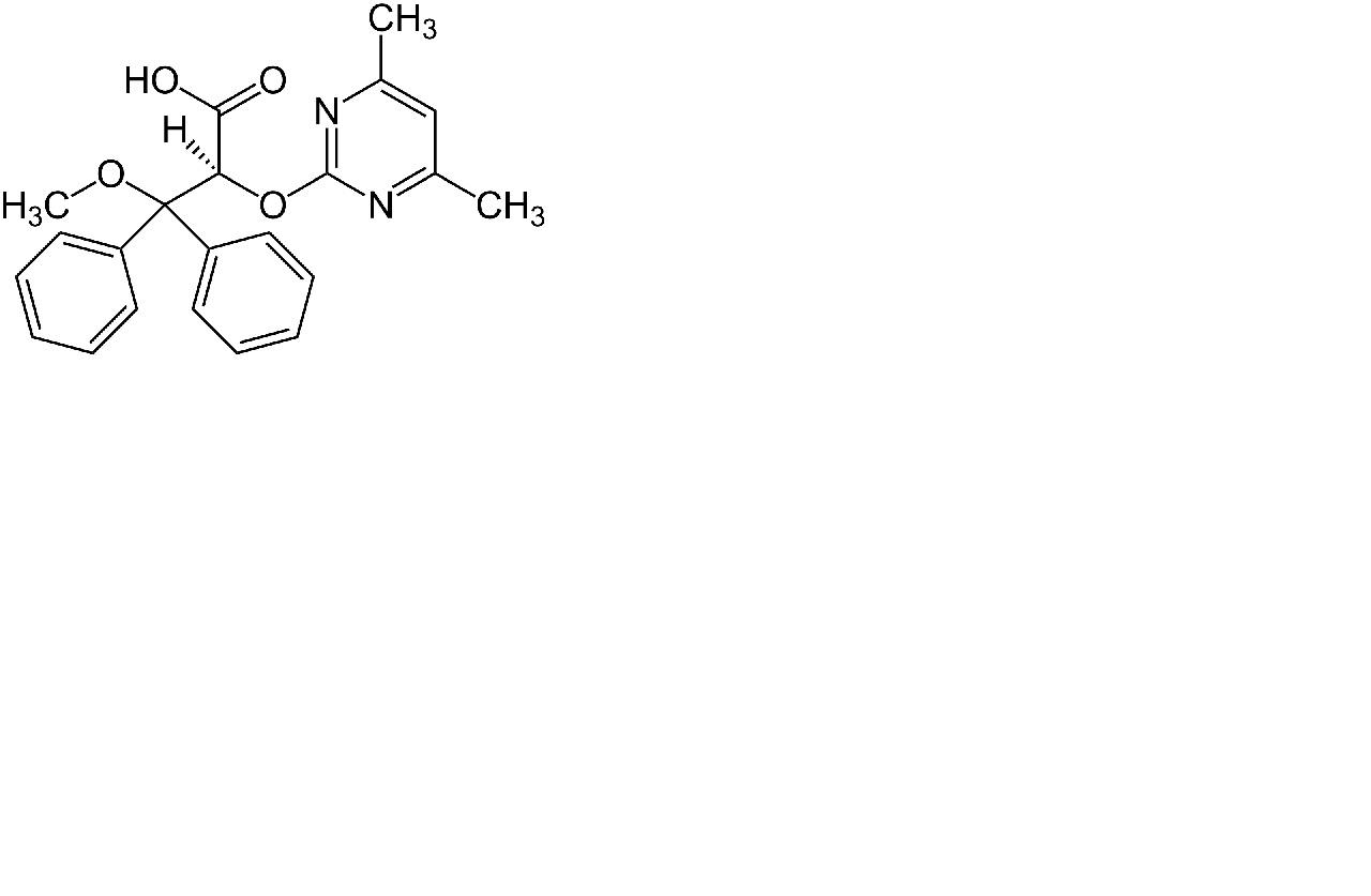
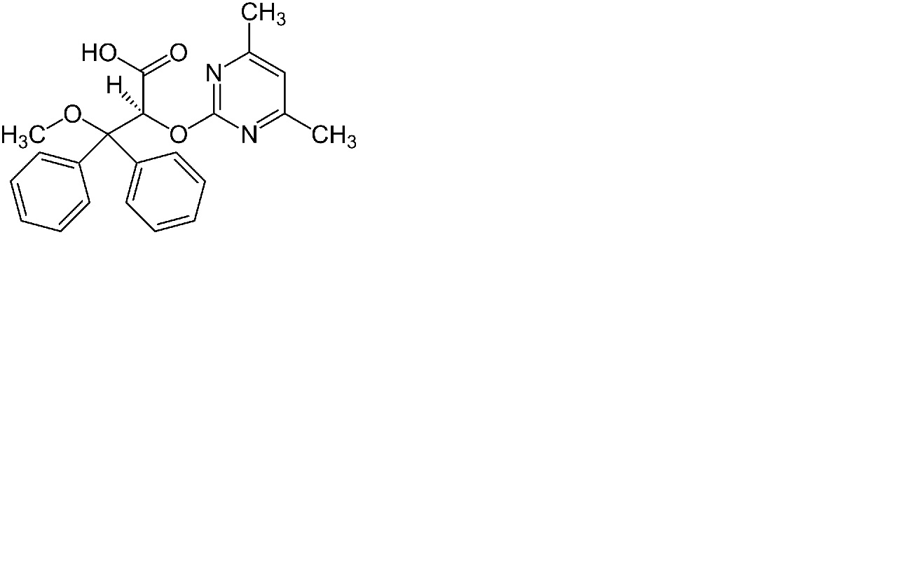
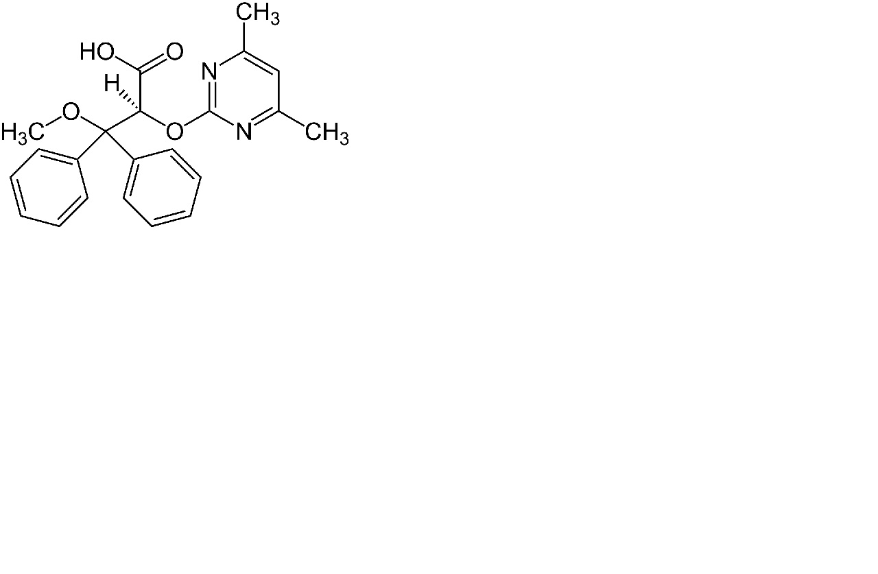
vazodilatans   Ambrisentan  
Perorálny roztok
Stabilita farmaceutických prípravkov Stabilita v zmesiach Faktory ovplyvňujúce stabilitu Kompatibility Odkazy na literatúru PDF
   Chemický vzorec  

Perorálny roztok
Kompatibility   Perorálny roztok   Kompatibility : Ambrisentan              
žiadne údaje

  Mentions Légales