Τελευταία ενημέρωση :
27/01/2026
Θρομβολυτικό   Ambrisentan  
Πόσιμο διάλυμα
Σταθερότητα και συμβατότητα των φαρμάκων Σταθερότητα σε μίγματα Παράγοντας που επηρεάζει τη σταθερότητα Συμβατότητες Βιβλιογραφία pdf
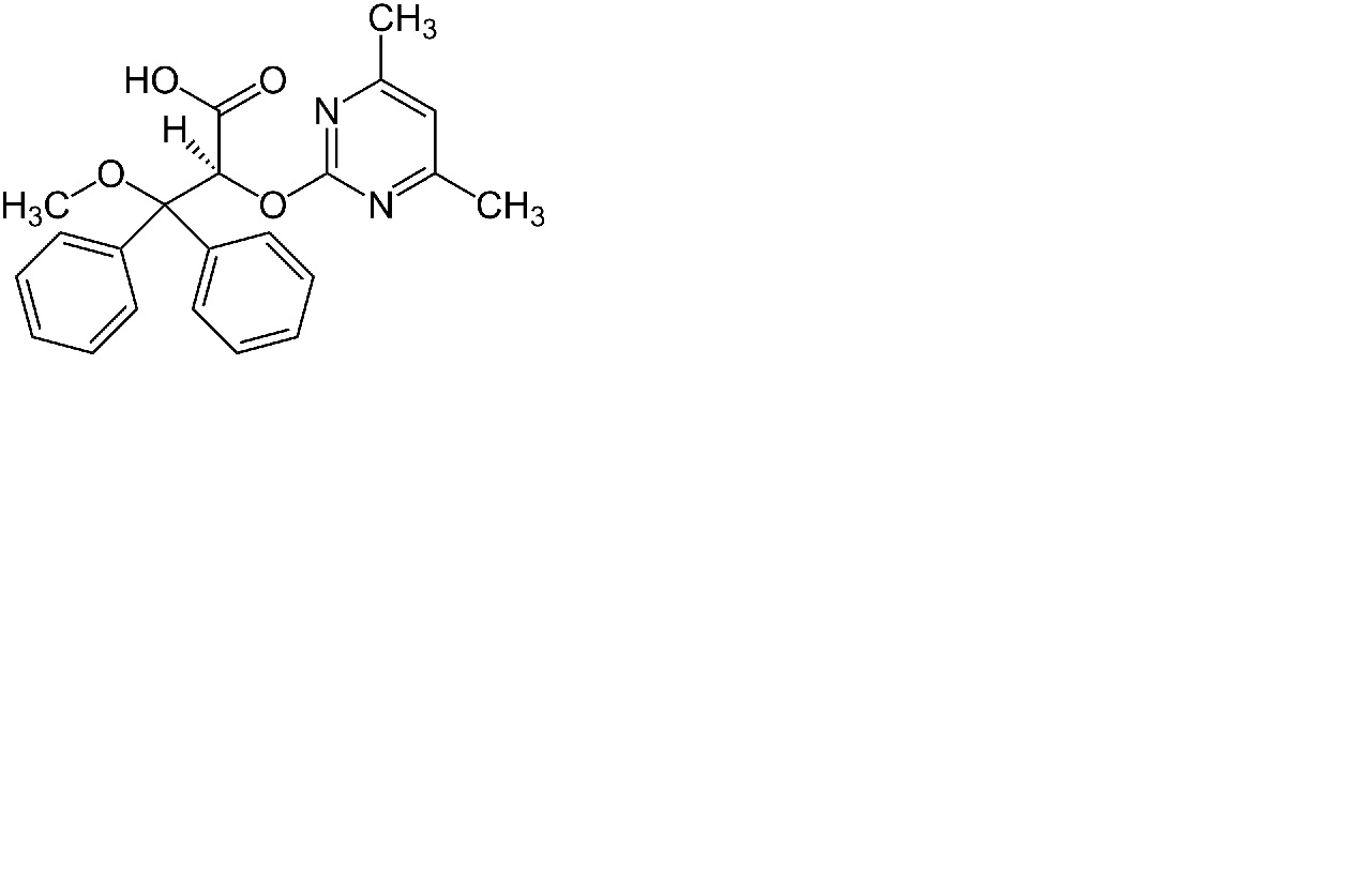
   χημική δομή  

Πόσιμο διάλυμα
Σταθερότητα και συμβατότητα των φαρμάκων   Πόσιμο διάλυμα   Σταθερότητα και συμβατότητα των φαρμάκων : Ambrisentan     
Υποδοχέας Origine Έκδοχο Θερμοκρασία Αποθήκευση Διάρκεια σταθερότητας Βιβλιογραφία
Πλαστικό μπουκάλι Δισκία 30 mg
® = Gilead Sciences
Γλυκερίνη 2,5 mL
OraPlus® 15 mL
Orasweet® 12,5 mL
21-27°C Προστατεύετε από το φως
90 Ημέρα
4560
Επίπεδο των αποδεικτικών στοιχείων D

Πλαστικό μπουκάλι Δισκία 30 mg
® = Gilead Sciences
Γλυκερίνη 2,5 mL
OraPlus® 15 mL
Orasweet® 12,5 mL
3,2-4,8°C Προστατεύετε από το φως
90 Ημέρα
4560
Επίπεδο των αποδεικτικών στοιχείων D


  Mentions Légales