viimane versioon :
27/01/2026
vasodilataator   Ambrisentan  
suukaudne lahus
Stabiilsust ravimpreparaadid Stabiilsust mõjutavad tegurid stabiilsust mõjutavad faktorid Sobimatus Viited pdf
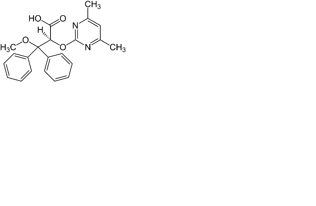
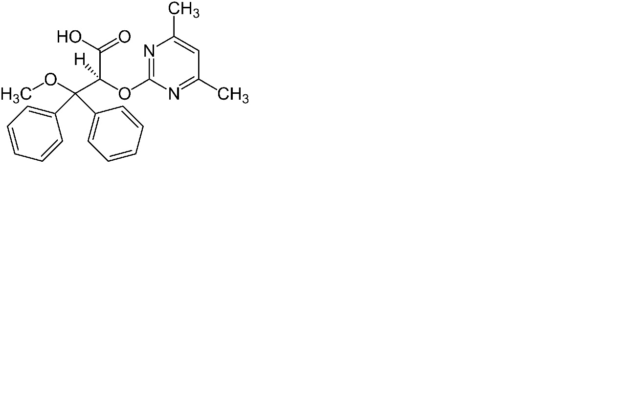
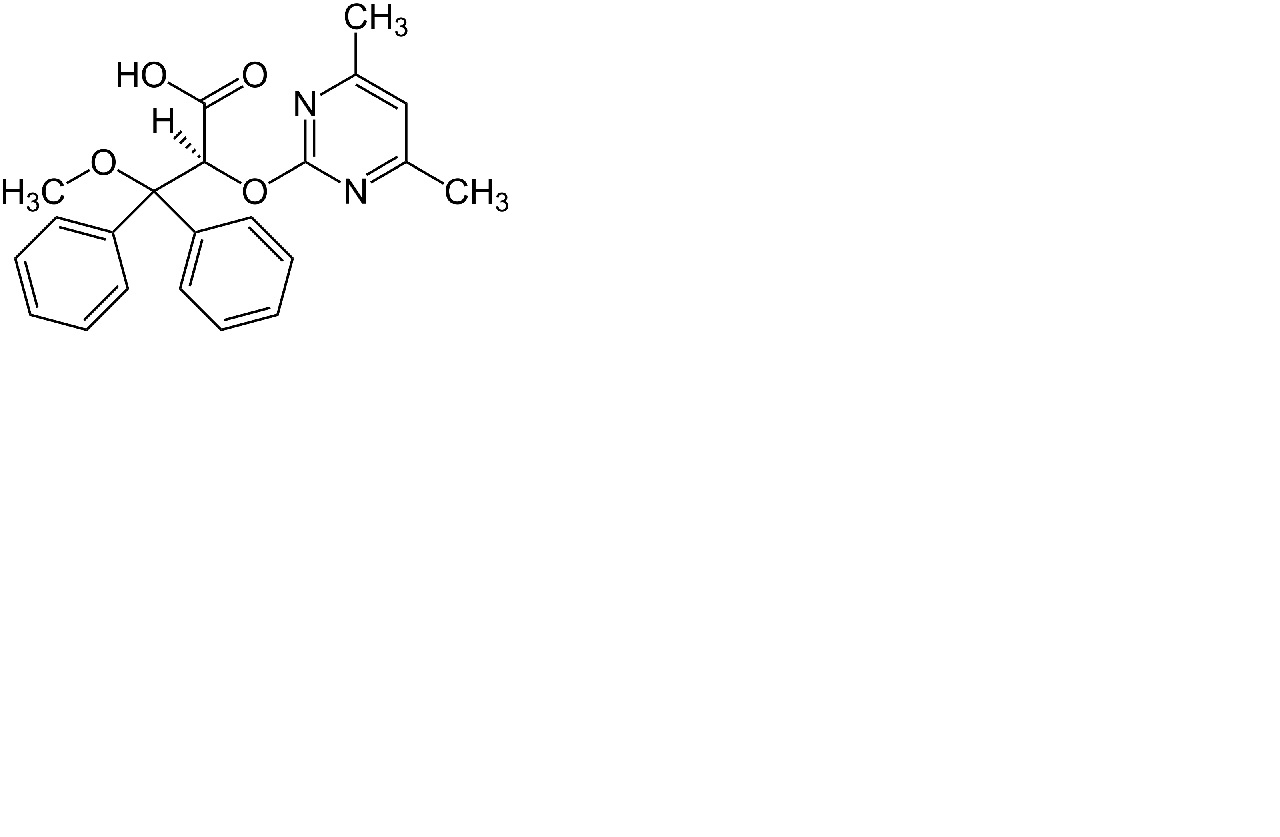
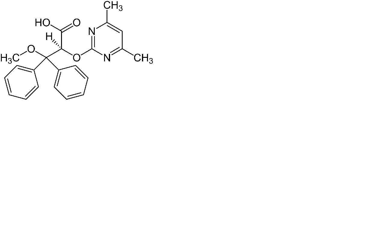
   keemiline struktuur  

suukaudne lahus
Stabiilsust ravimpreparaadid   suukaudne lahus   Stabiilsust ravimpreparaadid : Ambrisentan     
konteiner Origine  abiaine temperatuur ladustamine Stabiilsuse kestus Viited
Plastikpudel tabletid 30 mg
® = Gilead Sciences
Glütseriin 2,5 mL
OraPlus® 15 mL
Orasweet® 12,5 mL
21-27°C kaitsta valguse eest
90 päev
4560
Tõenduspõhisuse tase D

Plastikpudel tabletid 30 mg
® = Gilead Sciences
Glütseriin 2,5 mL
OraPlus® 15 mL
Orasweet® 12,5 mL
3,2-4,8°C kaitsta valguse eest
90 päev
4560
Tõenduspõhisuse tase D


  Mentions Légales