Senaste uppdateringen :
27/01/2026
Vasodilaterare   Ambrisentan  
Oral lösning
Stabilitet av läkemedel Stabilitet i blandningar Faktorer som påverkar stabiliteten Kompatibilitet Hänvisningar pdf
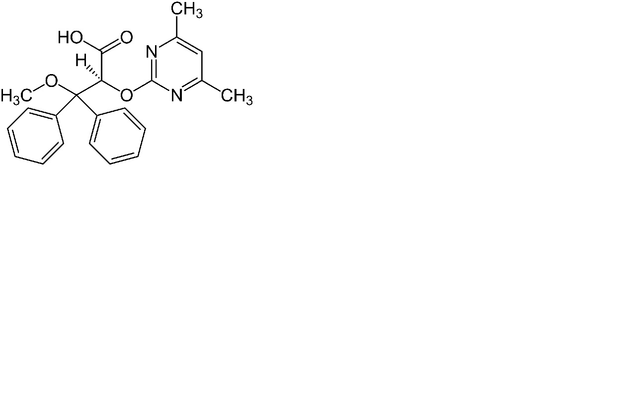
   Molekylstruktur  

Oral lösning
Stabilitet av läkemedel   Oral lösning   Stabilitet av läkemedel : Ambrisentan     
Behållare Origine Hjälpämne Temperatur Förvaring Stabilitets varaktighet Hänvisningar
Plastflaska Tabletter 30 mg
® = Gilead Sciences
Glycerin 2,5 mL
OraPlus® 15 mL
Orasweet® 12,5 mL
21-27°C Skyddas från ljus
90 Dag
4560
Evidensnivå D

Plastflaska Tabletter 30 mg
® = Gilead Sciences
Glycerin 2,5 mL
OraPlus® 15 mL
Orasweet® 12,5 mL
3,2-4,8°C Skyddas från ljus
90 Dag
4560
Evidensnivå D


  Mentions Légales