Letztes “update” :
27/01/2026
Vasodilatator   Ambrisentan  
Lösung zum Einnehmen
Stabilität von pharmazeutischen Präparaten Gemengestabilität Stabilitätbeeinflussende Faktoren Kompatibilitäten Literaturverzeichnis pdf
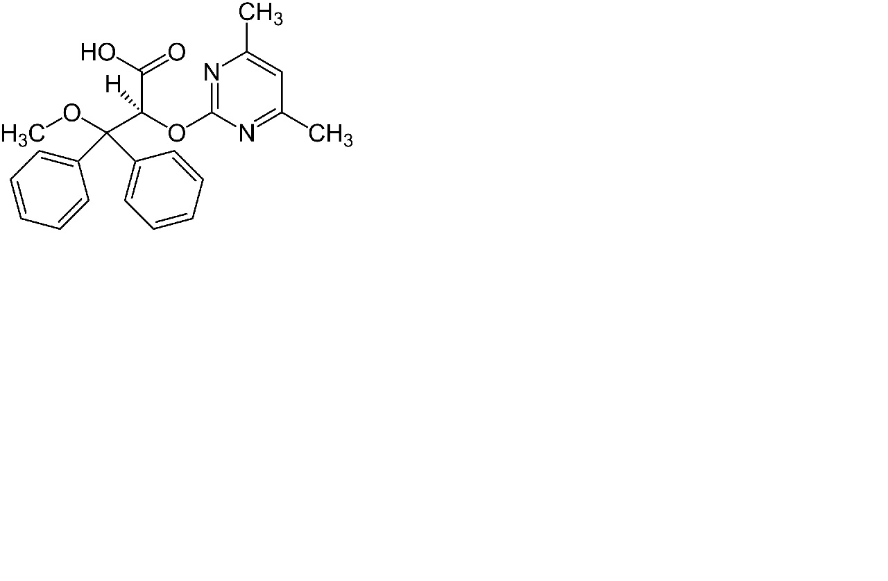
   Chemische Struktur  

Lösung zum Einnehmen
Stabilität von pharmazeutischen Präparaten   Lösung zum Einnehmen   Stabilität von pharmazeutischen Präparaten : Ambrisentan     
Behälter Origine Hilfsstoff Temperatur Konservierung Dauer der Stabilität Literaturverzeichnis
Plastikflasche Tabletten 30 mg
® = Gilead Sciences
Glycerin 2,5 mL
OraPlus® 15 mL
Orasweet® 12,5 mL
21-27°C Ohne Licht
90 Tag
4560
Evidenzgrad D

Plastikflasche Tabletten 30 mg
® = Gilead Sciences
Glycerin 2,5 mL
OraPlus® 15 mL
Orasweet® 12,5 mL
3,2-4,8°C Ohne Licht
90 Tag
4560
Evidenzgrad D


  Mentions Légales