Viimeisin päivitys :
27/01/2026
Vasodilataattorit   Ambrisentan  
Oraaliliuos
Vakaus lääkevalmisteen Stabilius seoksissa Tekijät, jotka vaikuttavat stabiliuteen Yhteensopivuus Viitteet pdf
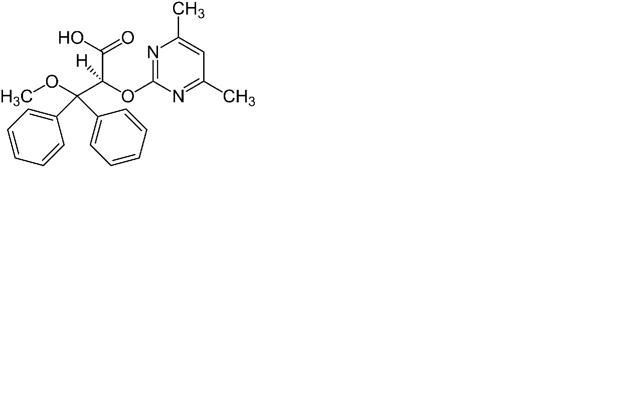
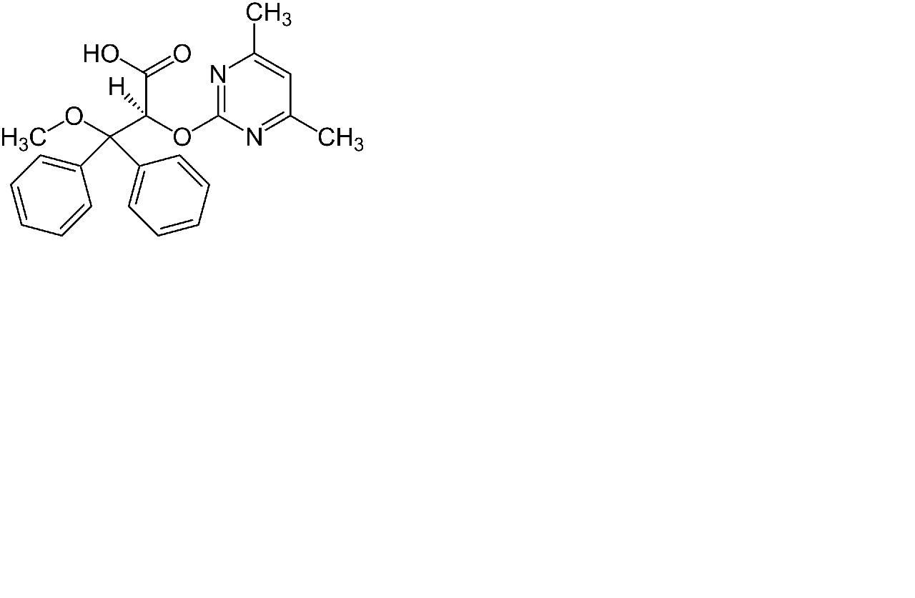
   Kemiallinen rakenne  

Oraaliliuos
Vakaus lääkevalmisteen   Oraaliliuos   Vakaus lääkevalmisteen : Ambrisentan     
Astia Origine Apuaine Lämpötila Säilytys Vakauden kesto Viitteet
Muovipullo Tabletit 30 mg
® = Gilead Sciences
Glyseroli 2,5 mL
OraPlus® 15 mL
Orasweet® 12,5 mL
21-27°C Suojattava valolta
90 Päivä
4560
Näytön laajuus D

Muovipullo Tabletit 30 mg
® = Gilead Sciences
Glyseroli 2,5 mL
OraPlus® 15 mL
Orasweet® 12,5 mL
3,2-4,8°C Suojattava valolta
90 Päivä
4560
Näytön laajuus D


  Mentions Légales