Ultimo aggiornamento :
18/03/2026
Vasodilatatore   Ambrisentan  
Soluzione orale
Stabilità dei preparati farmaceutici Stabilità in miscela Fattori che influenzano la stabilità Compatibilità Bibliografia pdf
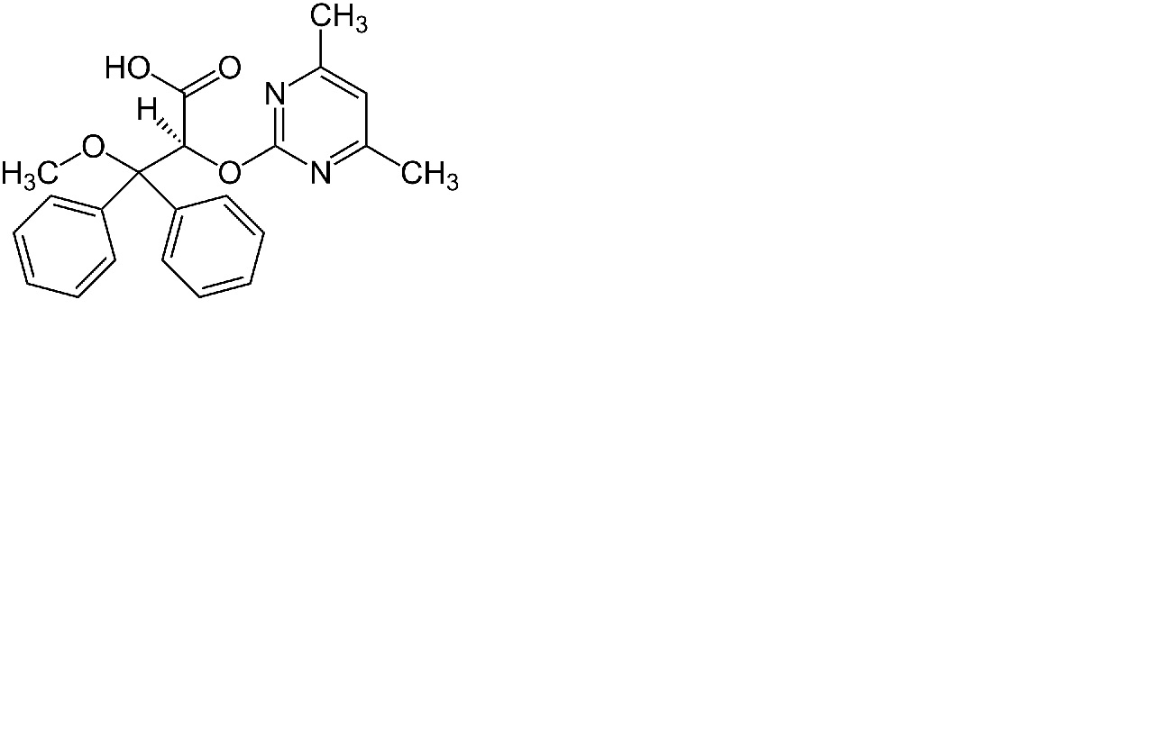
   Struttura chimica  

Soluzione orale
Stabilità dei preparati farmaceutici   Soluzione orale   Stabilità dei preparati farmaceutici : Ambrisentan     
contenitore Origine eccipiente Temperatura Conservazione Durata della stabilità Bibliografia
bottiglia di plastica compresse 30 mg
® = Gilead Sciences
Glicerina 2,5 mL
OraPlus® 15 mL
Orasweet® 12,5 mL
21-27°C Al riparo dalla luce
90 Giorno
4560
Livello di evidenza D

bottiglia di plastica compresse 30 mg
® = Gilead Sciences
Glicerina 2,5 mL
OraPlus® 15 mL
Orasweet® 12,5 mL
3,2-4,8°C Al riparo dalla luce
90 Giorno
4560
Livello di evidenza D


  Mentions Légales