Posledná aktualizácia :
18/03/2026
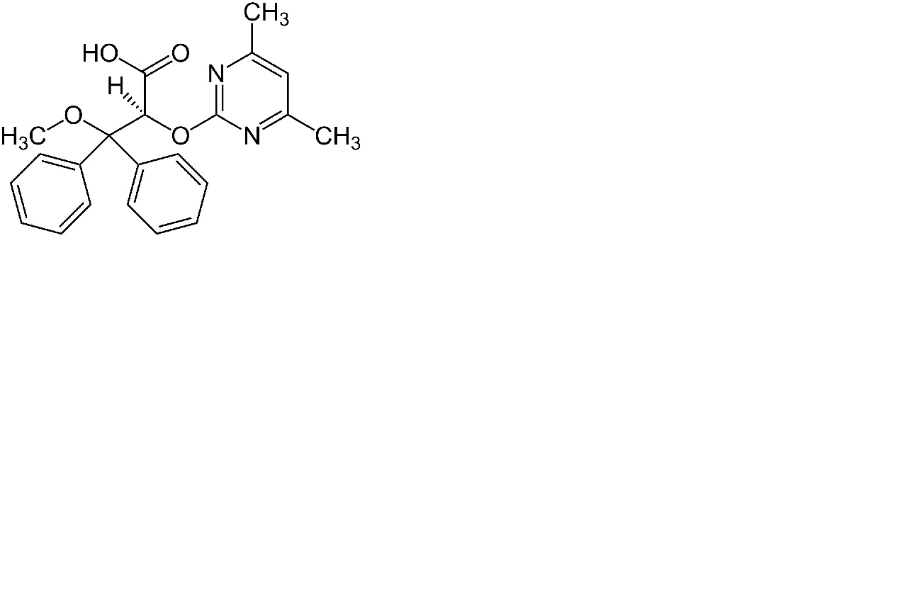
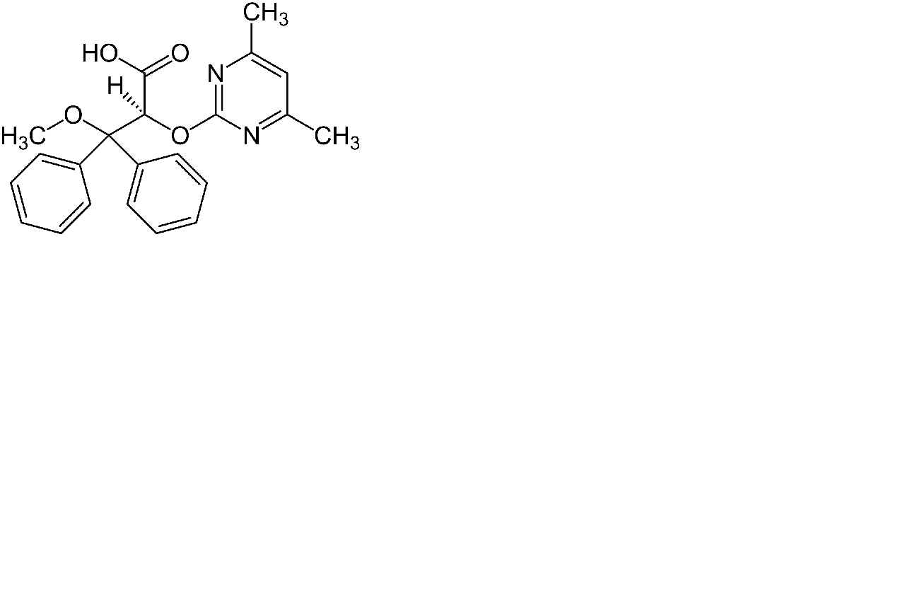
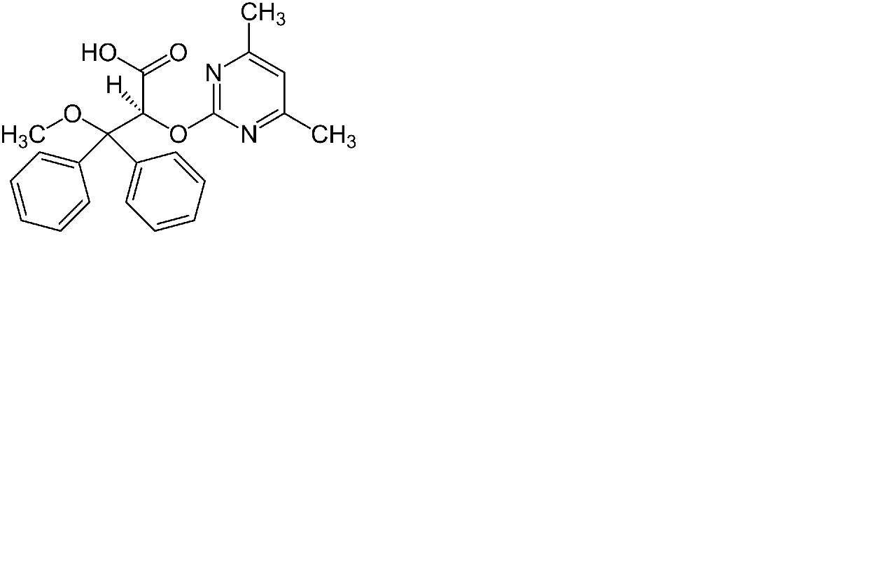
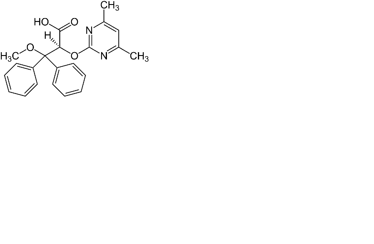
vazodilatans   Ambrisentan  
Perorálny roztok
Stabilita farmaceutických prípravkov Stabilita v zmesiach Faktory ovplyvňujúce stabilitu Kompatibility Odkazy na literatúru PDF
   Chemický vzorec  

Perorálny roztok
Stabilita farmaceutických prípravkov   Perorálny roztok   Stabilita farmaceutických prípravkov : Ambrisentan     
obal Pôvod Pomocná látka teplota uchovávanie Trvanie stability odkazy na lieteratúru
Plastová fľaša Tablety 30 mg
® = Gilead Sciences
Glycerol 2,5 mL
OraPlus® 15 mL
Orasweet® 12,5 mL
21-27°C Chránené pred svetlom
90 dní
4560
Úroveň dôkazov D

Plastová fľaša Tablety 30 mg
® = Gilead Sciences
Glycerol 2,5 mL
OraPlus® 15 mL
Orasweet® 12,5 mL
3,2-4,8°C Chránené pred svetlom
90 dní
4560
Úroveň dôkazov D


  Mentions Légales