Dernière mise à jour :
18/03/2026
Vasodilatateur   Ambrisentan  
Solution buvable
Stabilité des préparations Stabilité en mélange Facteur influençant la stabilité Compatibilités Bibliographie pdf
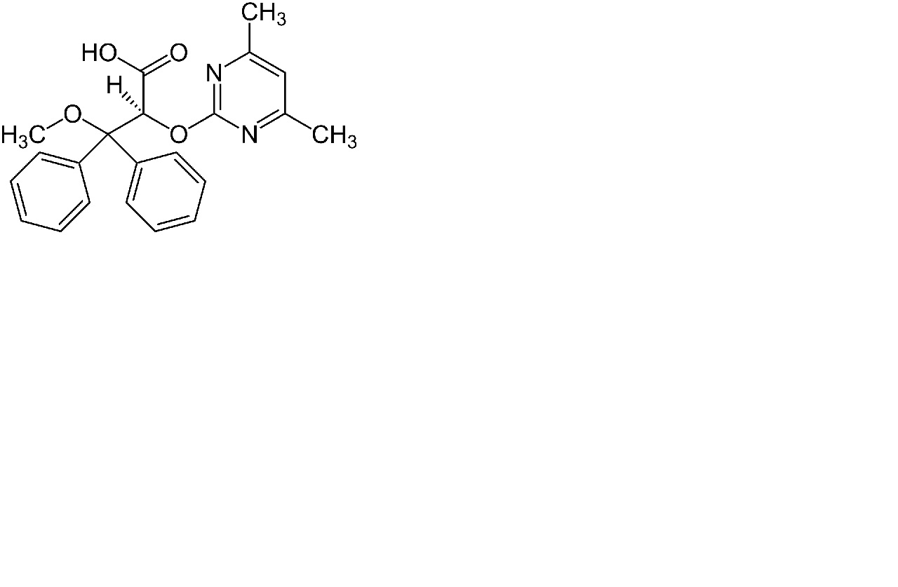
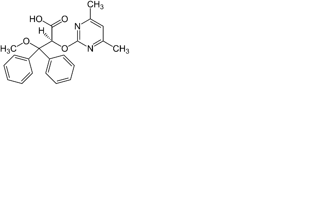
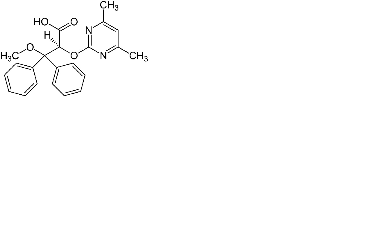
   Structure chimique  

Solution buvable
Stabilité des préparations   Solution buvable   Stabilité des préparations : Ambrisentan     
Contenant Origine Excipient Température Conservation Durée de stabilité Bibliographie
Flacon plastique Comprimés 30 mg
® = Gilead Sciences
Glycérine 2,5 mL
OraPlus® 15 mL
Orasweet ® 12,5 mL
21-27°C A l’abri de la lumière
90 Jour
4560
Niveau de preuve D

Flacon plastique Comprimés 30 mg
® = Gilead Sciences
Glycérine 2,5 mL
OraPlus® 15 mL
Orasweet ® 12,5 mL
3,2-4,8°C A l’abri de la lumière
90 Jour
4560
Niveau de preuve D


  Mentions Légales