Zadnji put ažurirano :
27/04/2026
vazodilatator   Ambrisentan  
oralna otopina
Stabilnost farmaceutskih pripravaka Stabilnost mješavine Stabilizacijski faktor Kompatibilnosti Bibliografija pdf
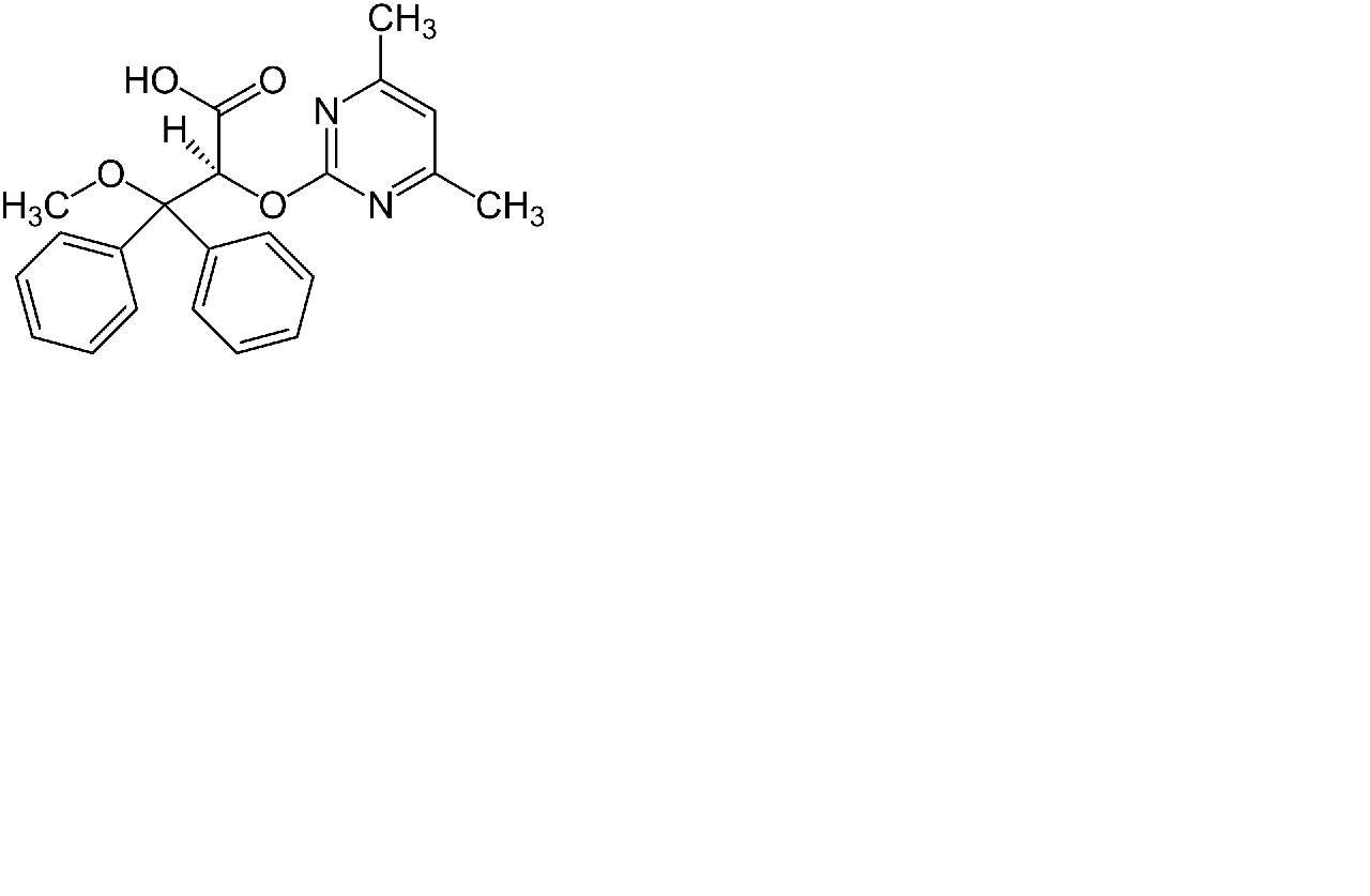
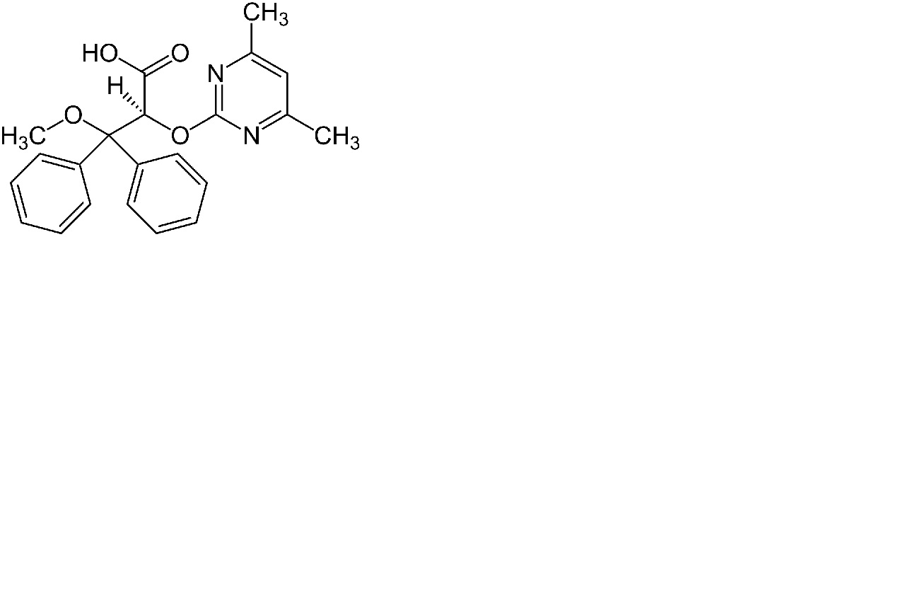
   Kemijska struktura  

oralna otopina
Kompatibilnosti   oralna otopina     Kompatibilnosti : Ambrisentan              
bez podataka

  Mentions Légales