Seneste opdatering :
27/04/2026
Vasodilator   Ambrisentan  
Oral opløsning
Stabilitet af farmaceutiske tilberedninger Stabilitet i blandinger Faktorer der påvirker stabiliteten Kompatibilitet Bibliografi pdf
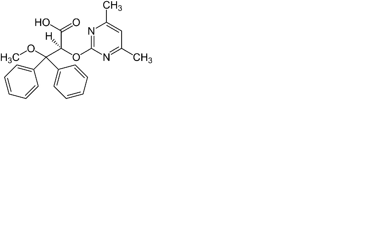
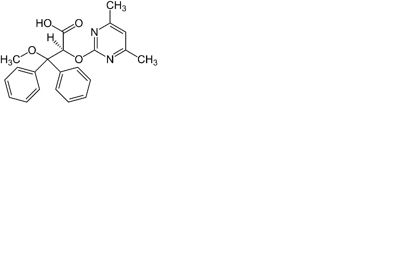
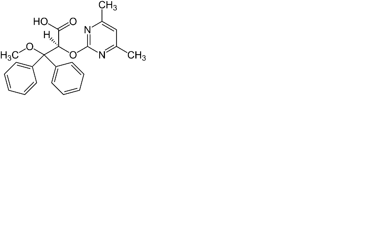
   Kemisk struktur  

Oral opløsning
Kompatibilitet   Oral opløsning   Kompatibilitet : Ambrisentan              
Ingen data

  Mentions Légales