Poslední aktualizace :
27/04/2026
Kraujagysles plečiantis vaistas   Ambrisentan  
Geriamas tirpalas
Stabilumas farmacinių preparatų Mišinių stabilumas Stabilumą lemiantys veiksniai Suderinamumas Bibliografija pdf
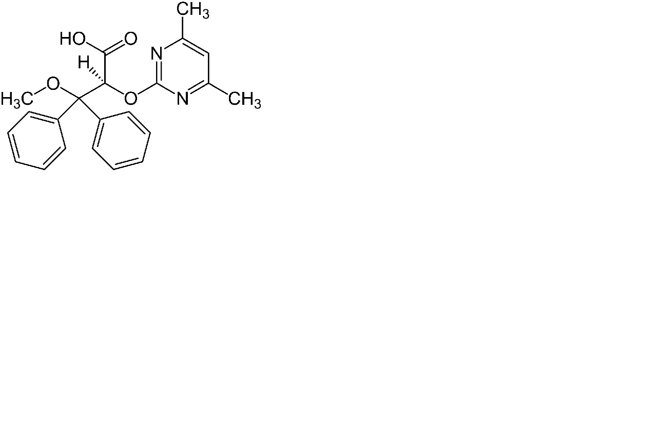
   Cheminė sandara  

Geriamas tirpalas
Suderinamumas   Geriamas tirpalas   Suderinamumas : Ambrisentan              
Nėra duomenų

  Mentions Légales