Siste oppdatering :
27/04/2026
Vasodilatator   Ambrisentan  
Mikstur
Stabilitet av farmasøytiske preparater Stabilitet i blandinger Faktorer som påvirker stabiliteten Kompatibilitet Referanser pdf
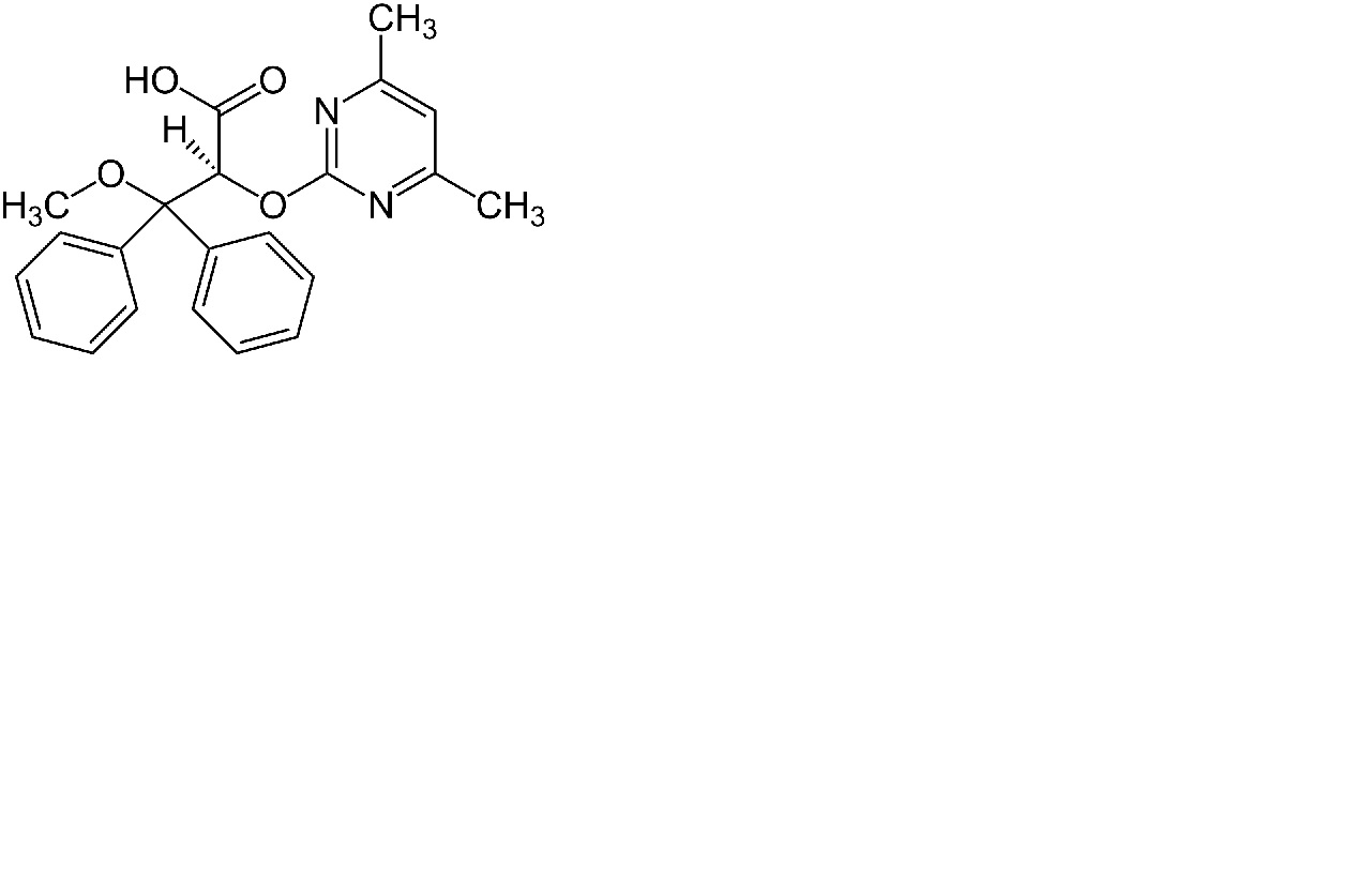
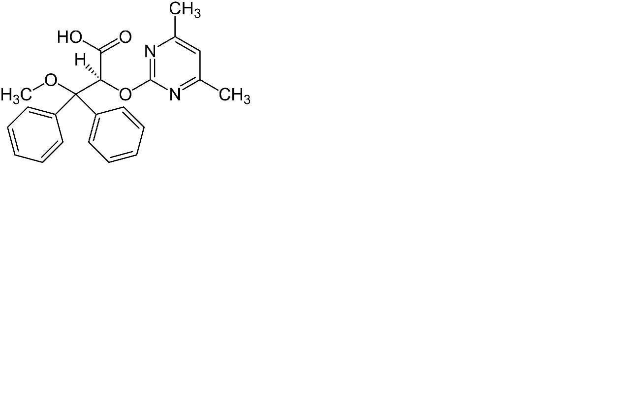
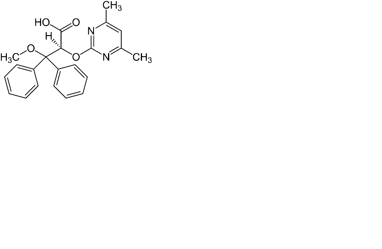
   Kjemisk struktur  

Mikstur
Kompatibilitet   Mikstur   Kompatibilitet : Ambrisentan              
Ingen opplysninger

  Mentions Légales