Last update :
27/04/2026
Vasodilator   Ambrisentan  
Oral solution
Stability of pharmaceutical preparations Stability of mixtures Factors which affect stability Compatibility References pdf
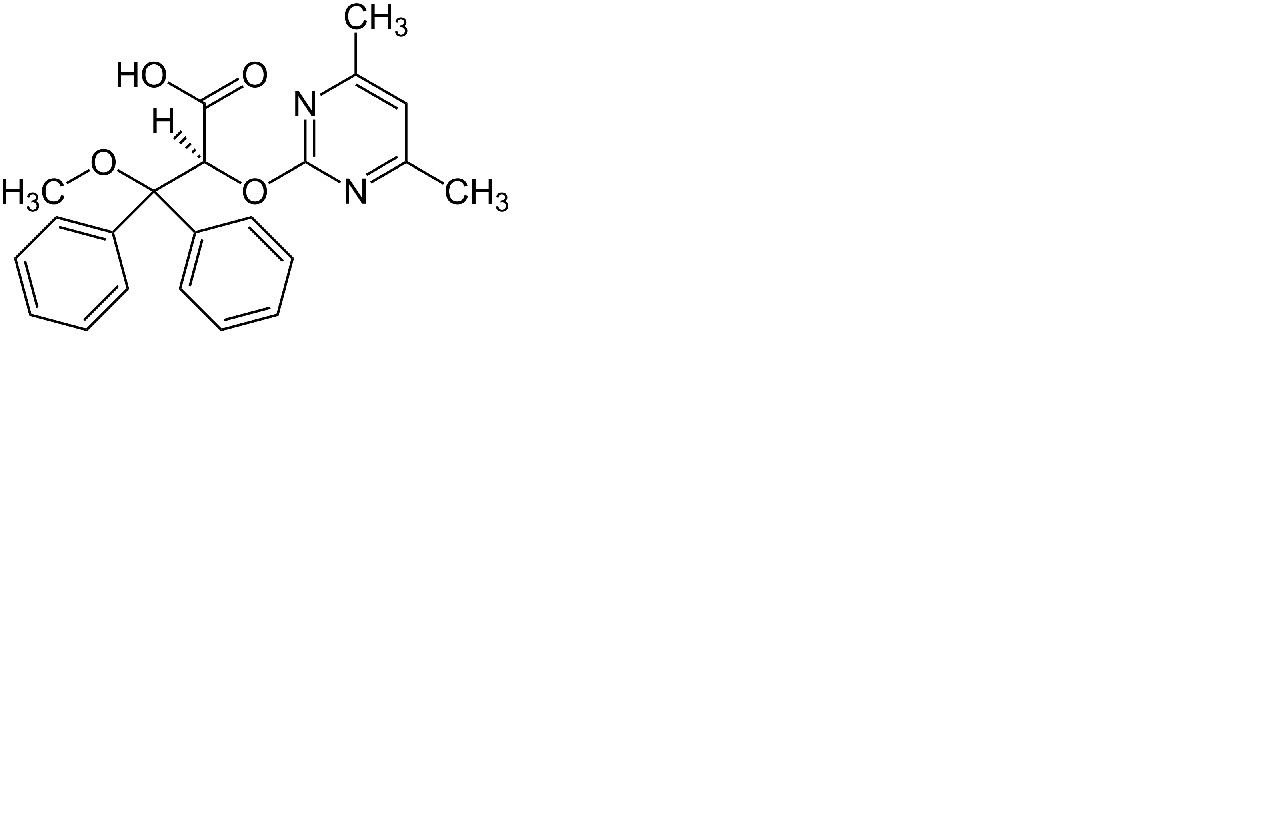
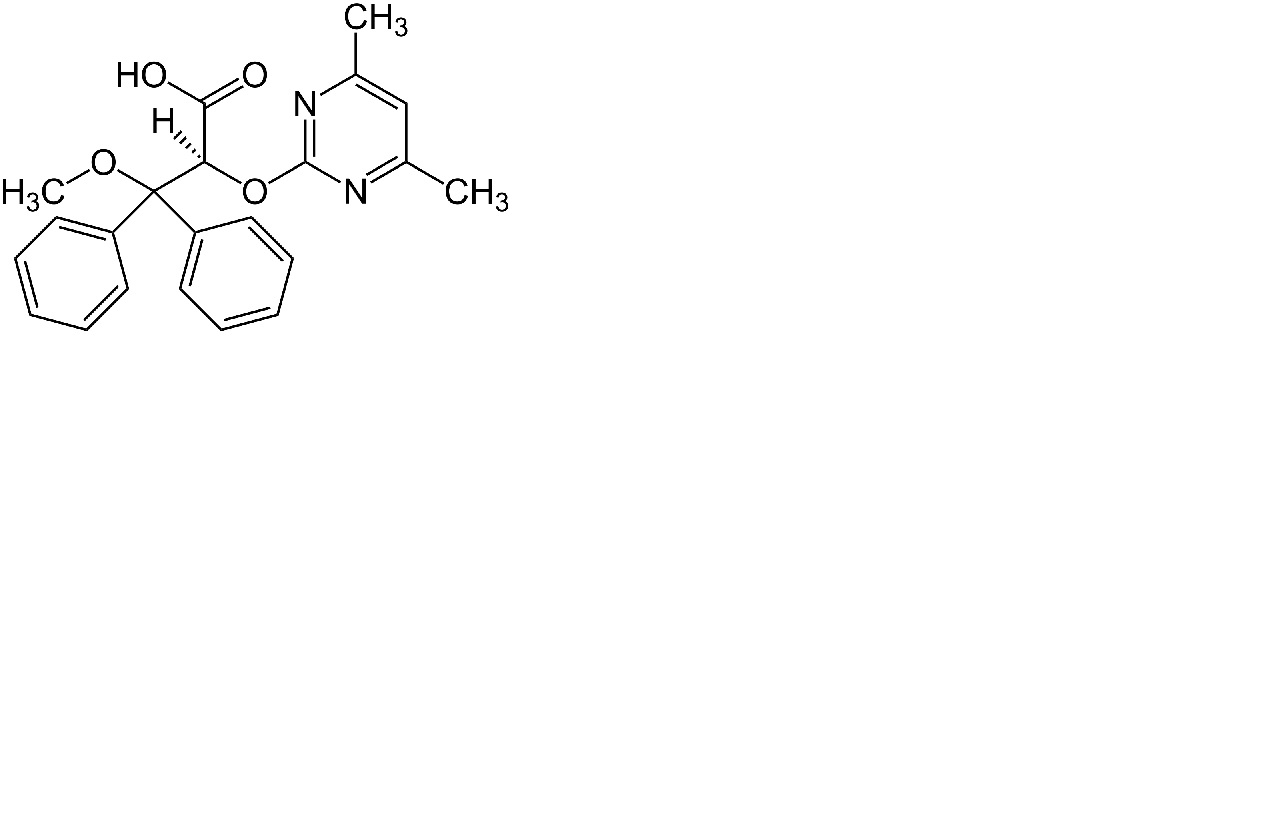
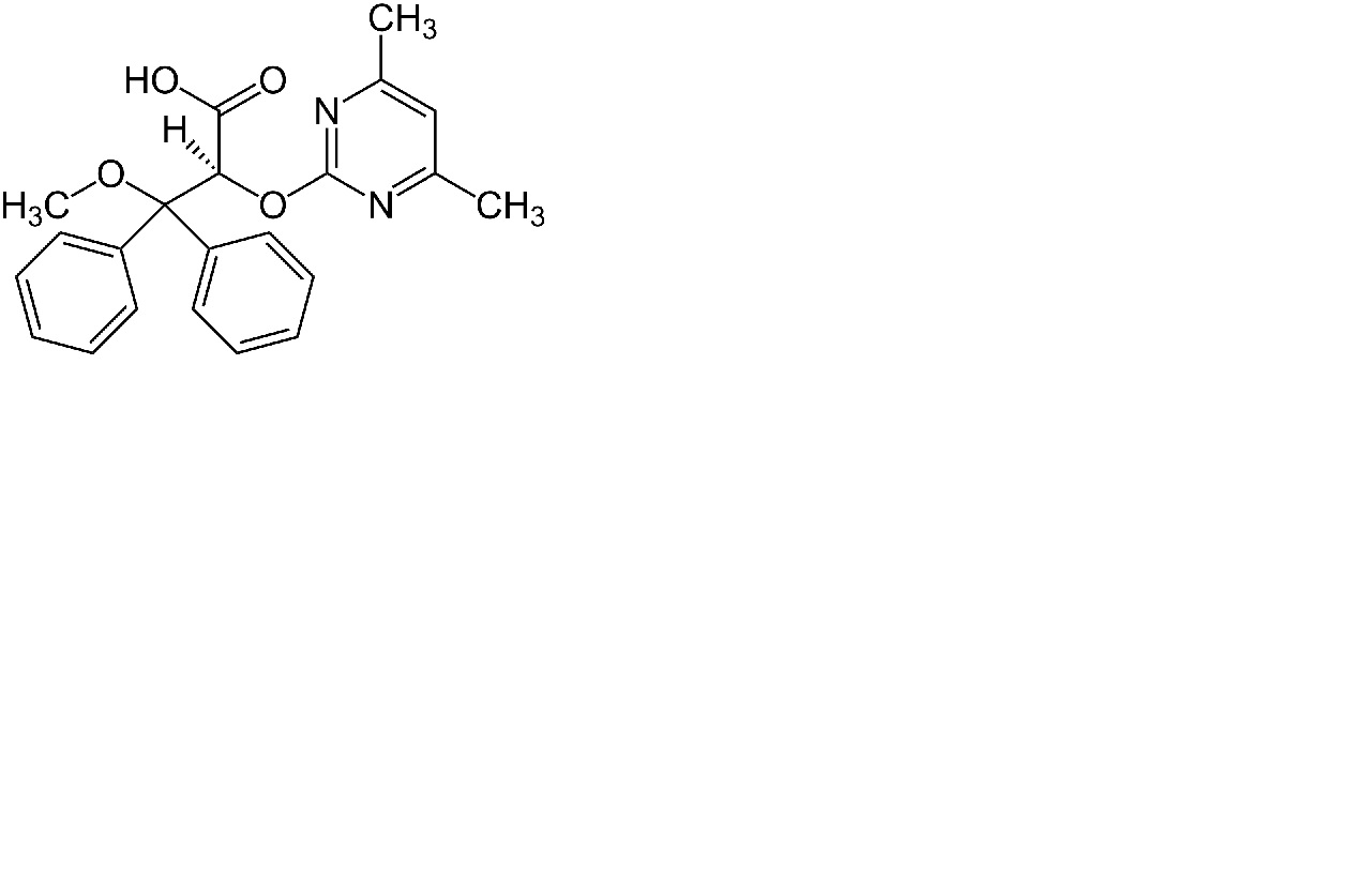
   Chemical structure  

Oral solution
Compatibility   Oral solution   Compatibility : Ambrisentan              
No data

  Mentions Légales