Cập nhật lần cuối :
27/04/2026
Hormon   Estrone  
Dạng bôi da
Tính ổn định của các chế phẩm Độ ổn định khi trộn lẫn Những yếu tố ảnh hưởng đến độ ổn định Khả năng tương thích Tài liệu tham khảo Pdf
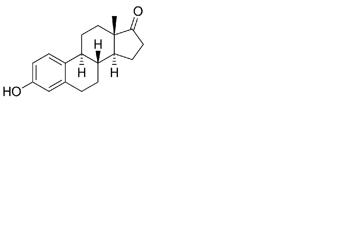
   Cấu trúc hóa học  

Dạng bôi da

Những yếu tố ảnh hưởng đến độ ổn định   Dạng bôi da   Những yếu tố ảnh hưởng đến độ ổn định : Estrone        
Không có dữ liệu

  Mentions Légales