Poslední aktualizace :
27/04/2026
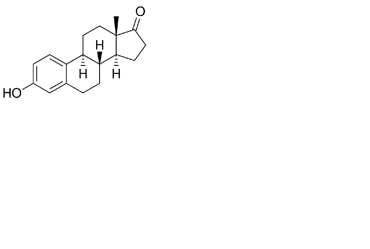
Hormon   Estrone  
Masti
Stabilita farmaceutických přípravků Stabilita směsí Faktory ovlivňující stabilitu Kompatibilita Odkazy pdf
   Chemický vzorec  

Masti

Faktory ovlivňující stabilitu   Masti   Faktory ovlivňující stabilitu : Estrone        
žádná data

  Mentions Légales