Poslední aktualizace :
27/04/2026
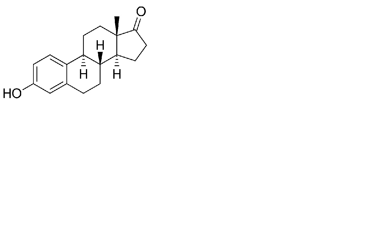
Hormonas   Estrone  
Tepalai
Stabilumas farmacinių preparatų Mišinių stabilumas Stabilumą lemiantys veiksniai Suderinamumas Bibliografija pdf
   Cheminė sandara  

Tepalai

Stabilumą lemiantys veiksniai   Tepalai   Stabilumą lemiantys veiksniai : Estrone        
Nėra duomenų

  Mentions Légales