Utolsó frissítés :
27/04/2026
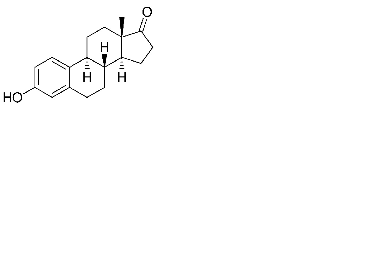
Hormonnal   Estrone  
kenőcs
Stabilitása gyógyszerészeti készítmények A keverékek stabilitása Stabilitást befolyásoló tényezők Kompatibilitás Irodalom pdf
   Kémiai szerkezet   

kenőcs

Stabilitást befolyásoló tényezők   kenőcs   Stabilitást befolyásoló tényezők : Estrone        
Hiányzó adat

  Mentions Légales