آخر تحديث :
27/04/2026
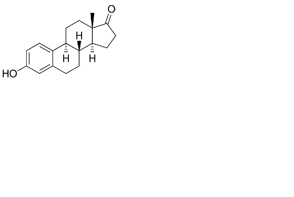
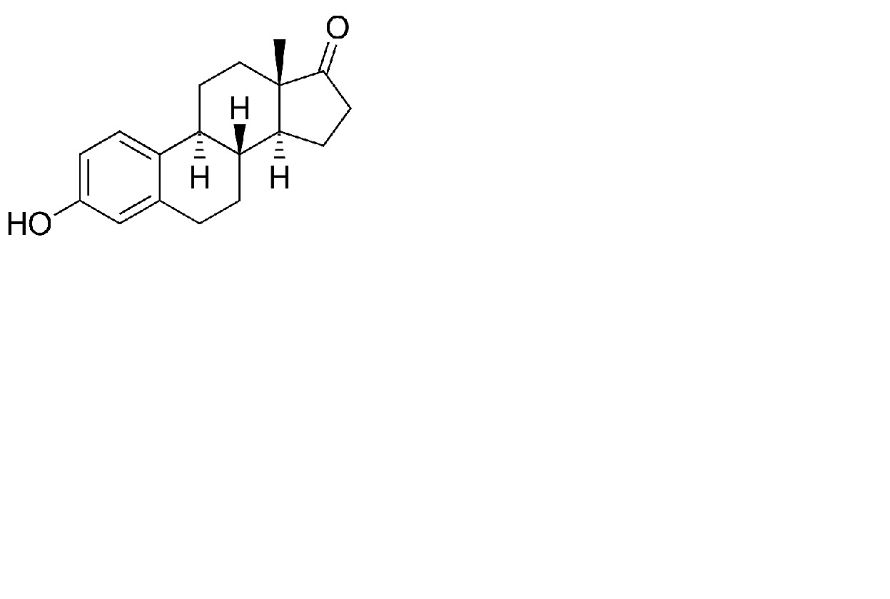
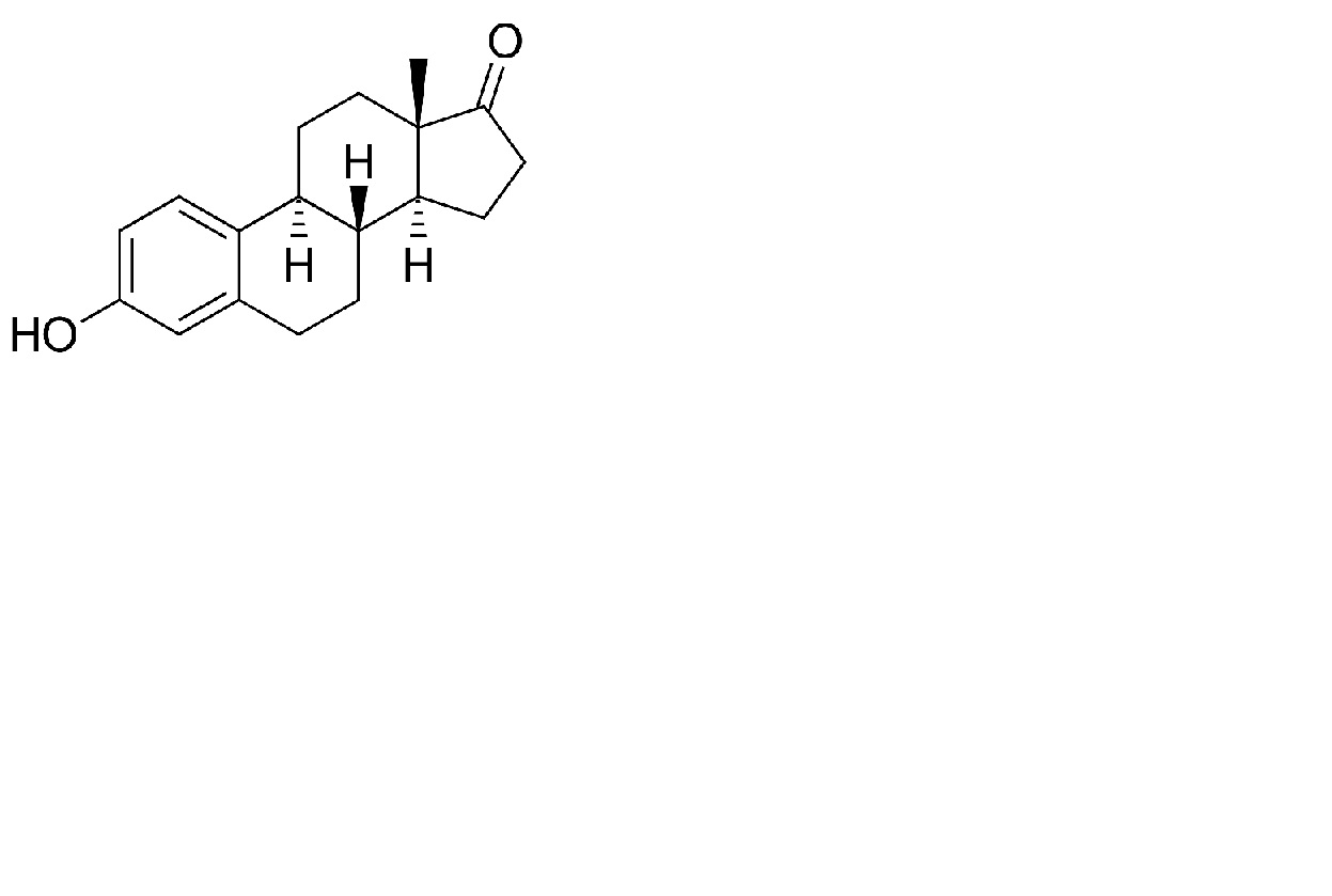
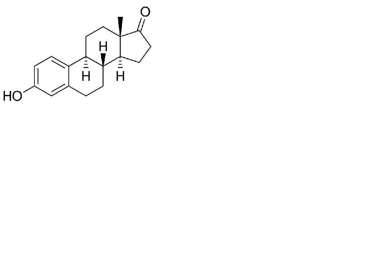
هرمون   Estrone  
المراهم
استقرار المستحضرات الصيدلانية استقرار مخاليط العوامل التي تؤثر على الاستقرار التوافق مراجع pdf
   التركيب الكيميائي  

المراهم

العوامل التي تؤثر على الاستقرار   المراهم   العوامل التي تؤثر على الاستقرار : Estrone        
لا توجد بيانات

  Mentions Légales