Son güncelleme :
27/04/2026
Hormon   Estrone  
Merhem
Farmasötik preparatlar Kararlılığı Karışımlardaki stabilitesi Stabiliteyi etkileyen faktörler Uyumluluk Kaynaklar pdf
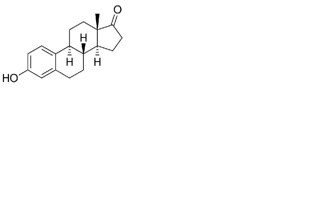
   Kimyasal yapı   

Merhem

Stabiliteyi etkileyen faktörler    Merhem   Stabiliteyi etkileyen faktörler : Estrone        
veri yok

  Mentions Légales