最新更新 :
27/04/2026
ホルモン薬   Estrone  
軟膏薬
調剤時の安定性 混合時の安定性 安定性に影響する因子 互換性 引用文献 PDF
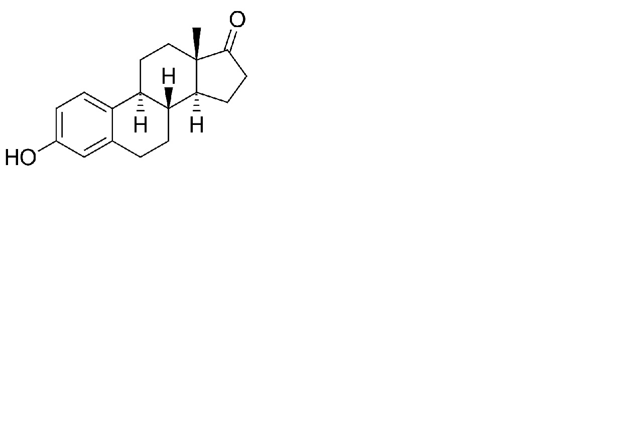
   化学構造  

軟膏薬

安定性に影響する因子   軟膏薬   安定性に影響する因子 : Estrone        
データなし

  Mentions Légales