Останнє оновлення :
27/01/2026
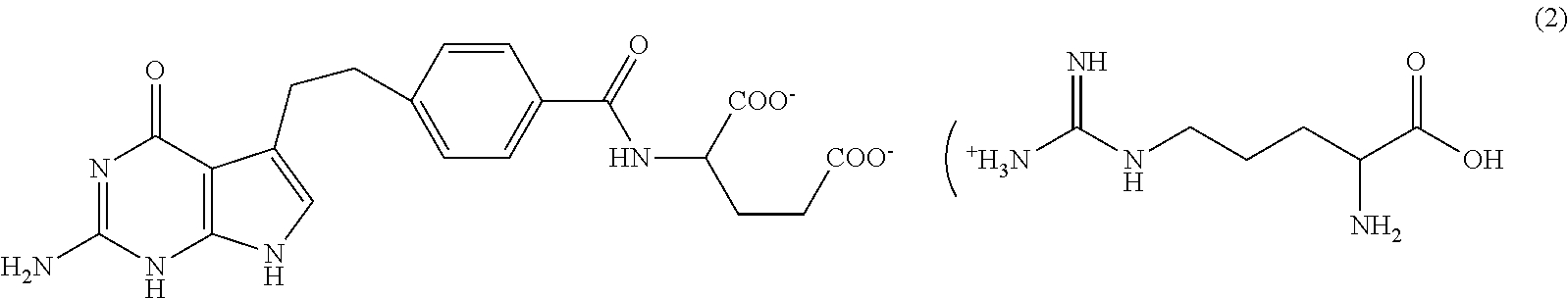
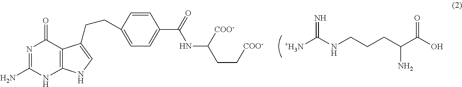
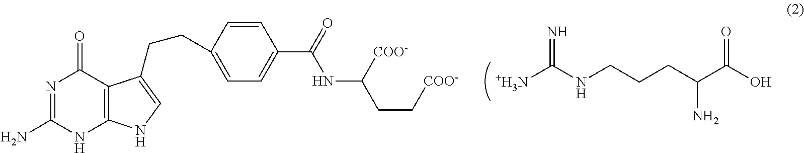
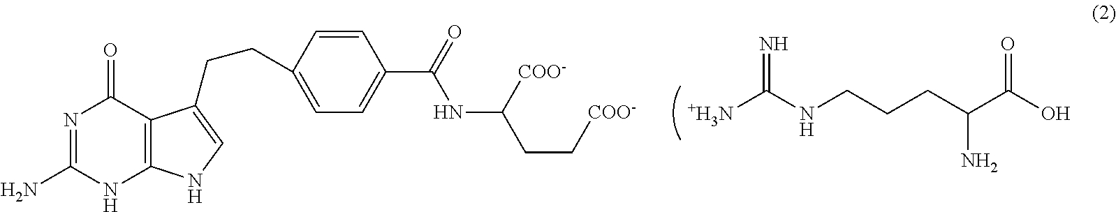
Протипухлинний препарат   Pemetrexed diarginine  
ін'єкція
Стійкість в розчинах Стійкість сумішей Фактори, що впливають на стабільність Сумісність Шлях введення Список літератури pdf
   Хімічна структура  

Торгова назва   Торгова назва     

Торгові назви є орієнтовними, а склад допоміжних речовин може бути різним залежно від країни та виробника

Pemetrexed Mylan Франція
Pemetrexed Ohre Pharma Франція
Pemetrexed Zentiva Франція
Стійкість сумішей   ін'єкція   Стійкість сумішей : Pemetrexed diarginine     
7 / 5 000 Résultats de traduction Немає даних

  Mentions Légales