Pēdējā atjaunošana :
18/03/2026
vēzis narkotiku   Pemetrexed diarginine  
Injekcija
Šķīduma stabilitāte Maisījuma stabilitāte Stabilitāti ietekmējoši faktori Saderība Levadīšanas veids Literatūras saraksts pdf
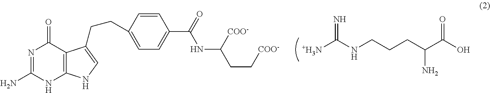
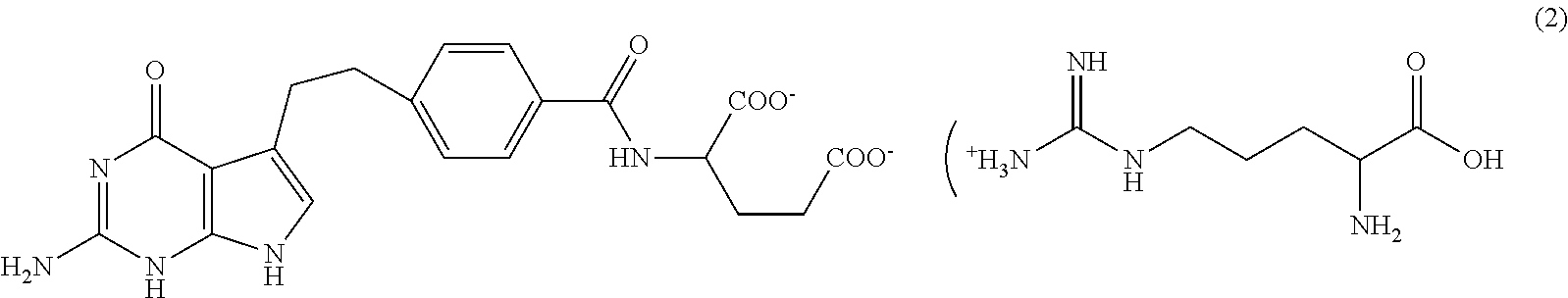
   Ķīmiskā uzbūve   

Oriģinālais nosaukums   Oriģinālais nosaukums     

Tirdzniecības nosaukumi ir apzīmējoši un palīgvielas var atšķirties dažādām valstīm un laboratorijām

Pemetrexed Mylan Francija
Pemetrexed Ohre Pharma Francija
Pemetrexed Zentiva Francija
Maisījuma stabilitāte   Injekcija   Maisījuma stabilitāte : Pemetrexed diarginine     
Nav datu

  Mentions Légales