Última actualización :
27/01/2026
fármacos contra el cáncer   Pemetrexed diarginine  
Inyectables
Estabilidad en solucion Estabilidad en mezcla Factores que influyen sobre la estabilidad Compatibilidades método de inyección Bibliografía pdf
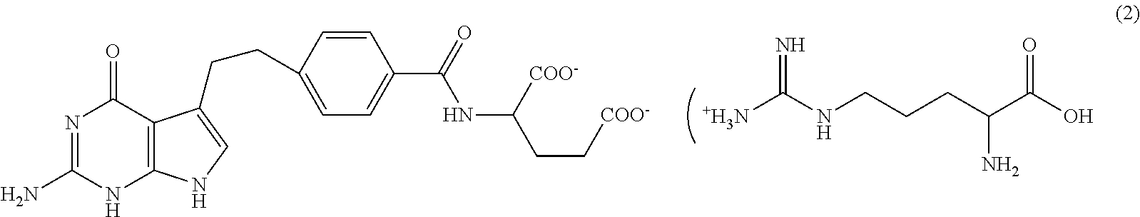
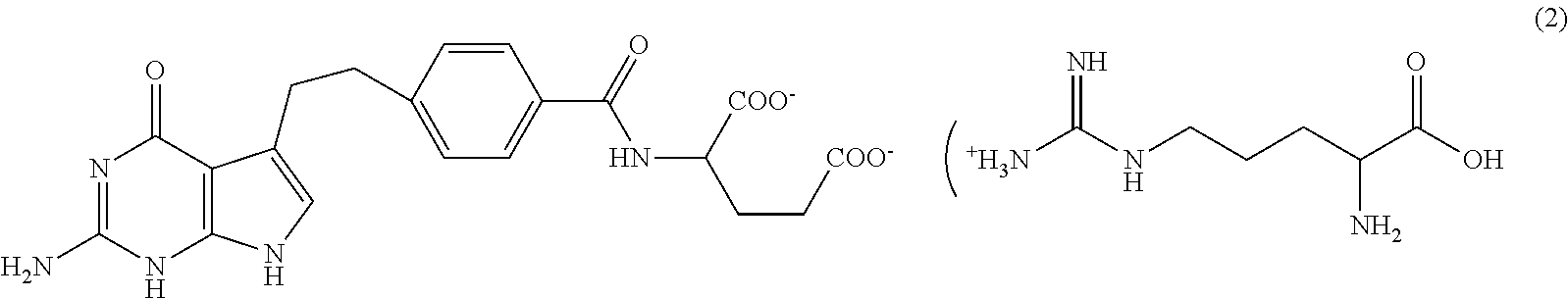
   Estructura química  

Nombre comercial   Nombre comercial     

Los nombres comerciales son orientativos y los excipientes de la formulación pueden ser distintos dependiendo del país y del laboratorio fabricante.

Pemetrexed Mylan Francia
Pemetrexed Ohre Pharma Francia
Pemetrexed Zentiva Francia
Estabilidad en mezcla   Inyectables   Estabilidad en mezcla : Pemetrexed diarginine     
Ausencia de datos

  Mentions Légales