Poslední aktualizace :
27/01/2026
rakovina drog   Pemetrexed diarginine  
injekce
Stabilita roztoků Stabilita směsí Faktory ovlivňující stabilitu Kompatibilita Způsoby aplikace Odkazy pdf
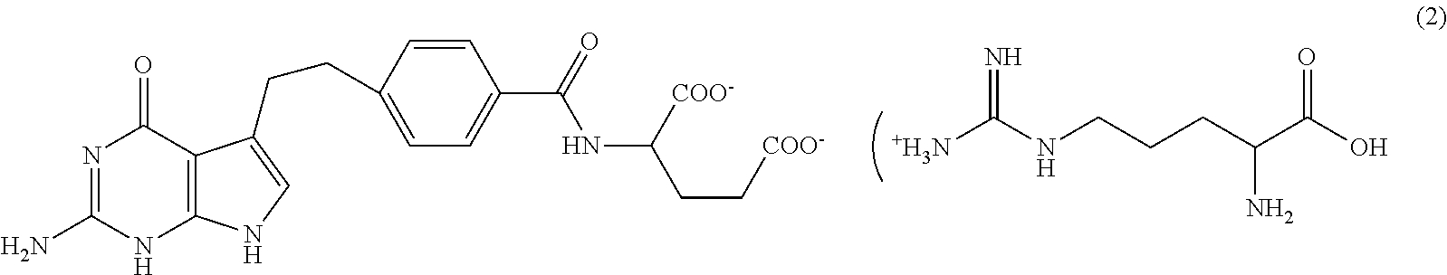
   Chemický vzorec  

Obchodní název   Obchodní název     

Trade names are indicative and excipients composition can be different depending on the country and manufacturers

Pemetrexed Mylan Francie
Pemetrexed Ohre Pharma Francie
Pemetrexed Zentiva Francie
Stabilita směsí   injekce   Stabilita směsí : Pemetrexed diarginine     
žádná data

  Mentions Légales