Senaste uppdateringen :
27/01/2026
cancerläkemedel   Pemetrexed diarginine  
injektion
Lösningars stabilitet Stabilitet i blandningar Faktorer som påverkar stabiliteten Kompatibilitet Administreringssätt Hänvisningar pdf
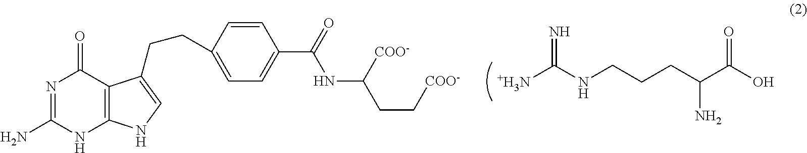
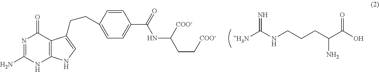
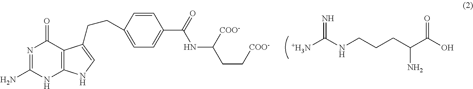
   Molekylstruktur  

Varunamn   Varunamn     

Angivna handelsnamn på läkemedel är enbart vägledande då formulering inklusive hjälpämnen kan variera mellan länder och tillverkare

Pemetrexed Mylan Frankrike
Pemetrexed Ohre Pharma Frankrike
Pemetrexed Zentiva Frankrike
Stabilitet i blandningar   injektion   Stabilitet i blandningar : Pemetrexed diarginine     
Ingen uppgift

  Mentions Légales