Letztes “update” :
27/01/2026
Antikrebsmittel   Pemetrexed diarginine  
Injektion
Stabilität der Lösung Gemengestabilität Stabilitätbeeinflussende Faktoren Kompatibilitäten Applikationsart Literaturverzeichnis pdf
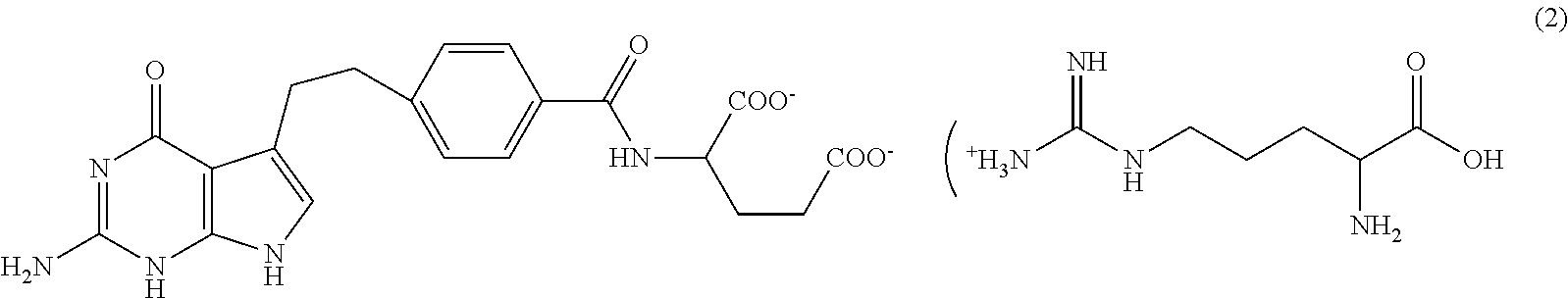
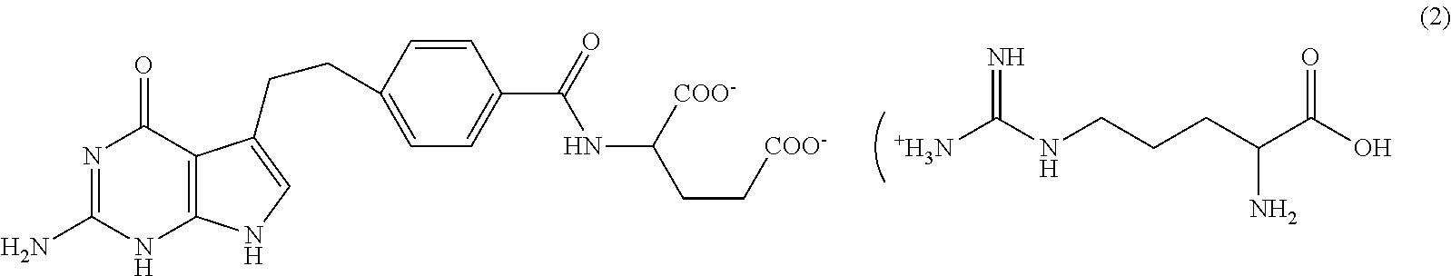
   Chemische Struktur  

Handelsmarke   Handelsmarke     

Handelsnamen sind als beispielhaft anzusehen. Sonstige Bestandteile können je nach Hersteller oder Land verschieden sein

Pemetrexed Mylan Frankreich
Pemetrexed Ohre Pharma Frankreich
Pemetrexed Zentiva Frankreich
Gemengestabilität   Injektion   Gemengestabilität : Pemetrexed diarginine     
Keine Daten

  Mentions Légales