Cập nhật lần cuối :
27/01/2026
thuốc trị ung thư   Pemetrexed diarginine  
Dạng tiêm
Tính ổn định của các dung dịch Độ ổn định khi trộn lẫn Những yếu tố ảnh hưởng đến độ ổn định Khả năng tương thích Đường dùng Tài liệu tham khảo Pdf
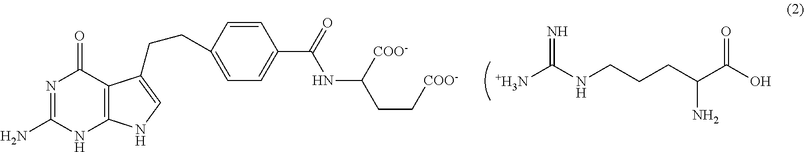
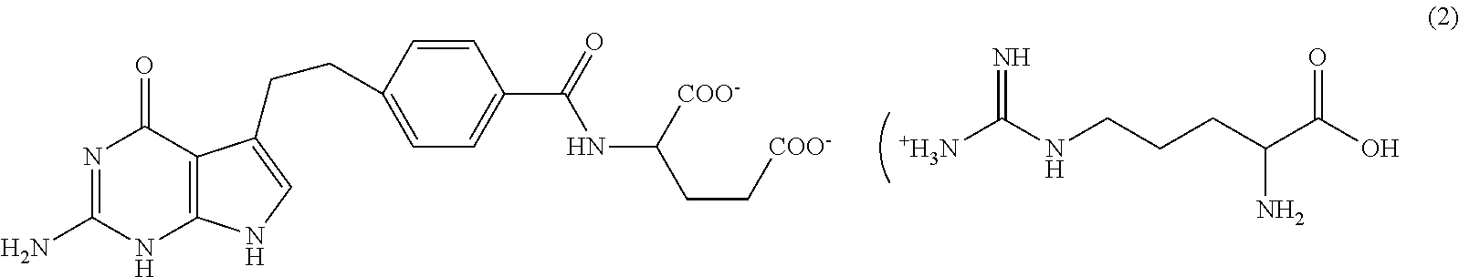
   Cấu trúc hóa học  

Tên thương mại   Tên thương mại     

Các tên thương mại được cung cấp và thành phần tá dược có thể khác nhau giữa các quốc gia và các hãng dược

Pemetrexed Mylan Pháp
Pemetrexed Ohre Pharma Pháp
Pemetrexed Zentiva Pháp

Những yếu tố ảnh hưởng đến độ ổn định   Dạng tiêm   Những yếu tố ảnh hưởng đến độ ổn định : Pemetrexed diarginine        
Không có dữ liệu

  Mentions Légales