Останнє оновлення :
27/01/2026
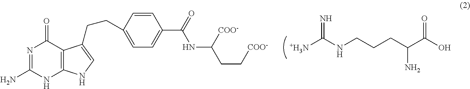
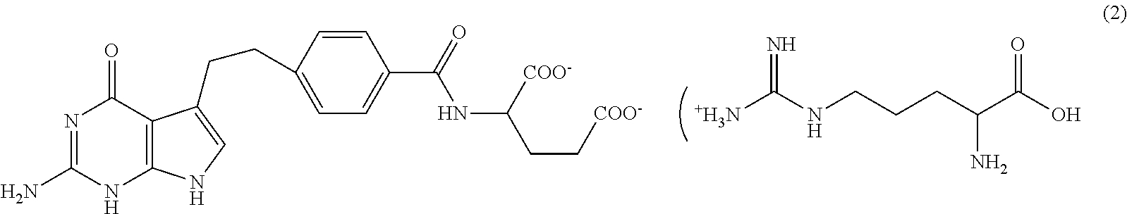
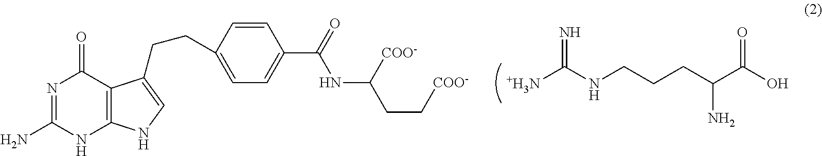
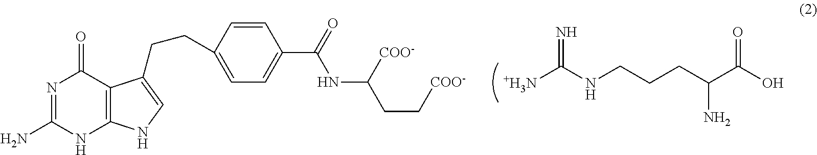
Протипухлинний препарат   Pemetrexed diarginine  
ін'єкція
Стійкість в розчинах Стійкість сумішей Фактори, що впливають на стабільність Сумісність Шлях введення Список літератури pdf
   Хімічна структура  

Торгова назва   Торгова назва     

Торгові назви є орієнтовними, а склад допоміжних речовин може бути різним залежно від країни та виробника

Pemetrexed Mylan Франція
Pemetrexed Ohre Pharma Франція
Pemetrexed Zentiva Франція

Фактори, що впливають на стабільність   ін'єкція   Фактори, що впливають на стабільність : Pemetrexed diarginine        
7 / 5 000 Résultats de traduction Немає даних

  Mentions Légales