Son güncelleme :
27/01/2026
kanser ilaç   Pemetrexed diarginine  
Enjeksiyon
Çözeltilerin stabilitesi Karışımlardaki stabilitesi Stabiliteyi etkileyen faktörler Uyumluluk Uygulama yöntemi Kaynaklar pdf
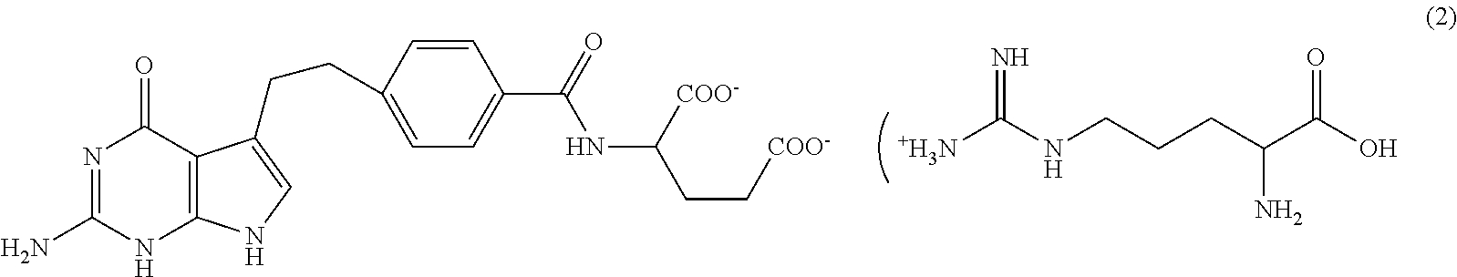
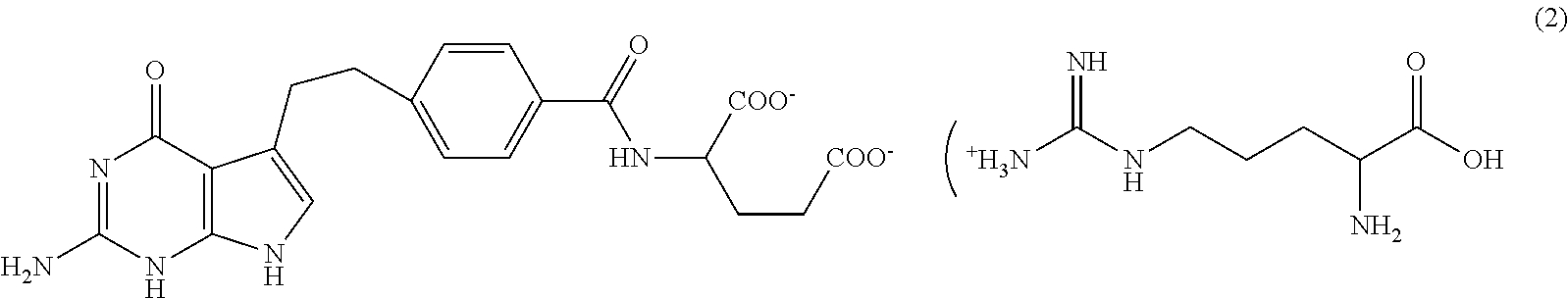
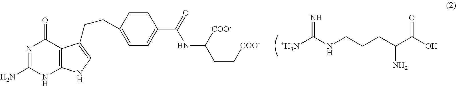
   Kimyasal yapı   

Ticari isim   Ticari isim     

Trade names are indicative and excipients composition can be different depending on the country and manufacturers

Pemetrexed Mylan Fransa
Pemetrexed Ohre Pharma Fransa
Pemetrexed Zentiva Fransa

Stabiliteyi etkileyen faktörler    Enjeksiyon    Stabiliteyi etkileyen faktörler : Pemetrexed diarginine        
veri yok

  Mentions Légales