Последно актуализиране :
27/01/2026
противораково лекарство   Pemetrexed diarginine  
Инжекция/Инжекционен
Стабилност на разтвори Стабилност на смеси Фактори, повлияващи стабилността Съвместимост Път на въвеждане Библиография Pdf
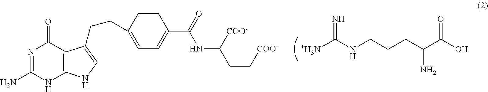
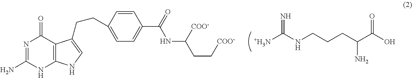
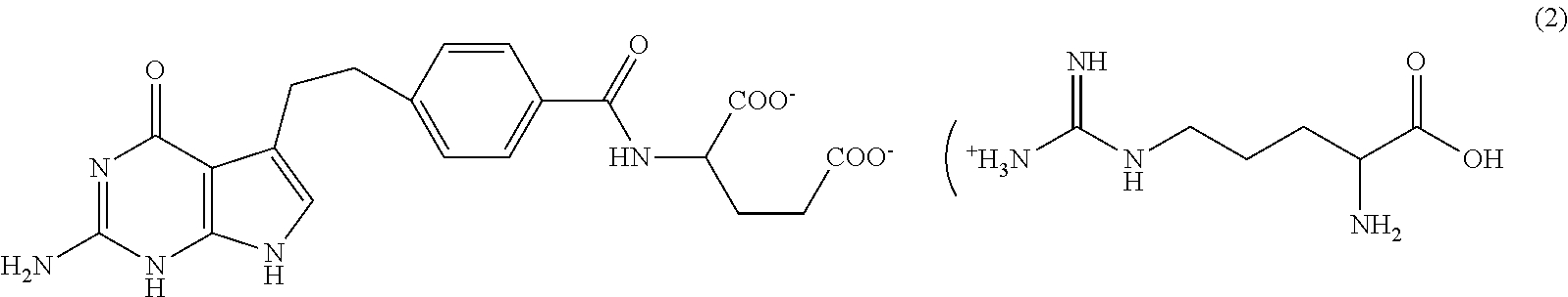
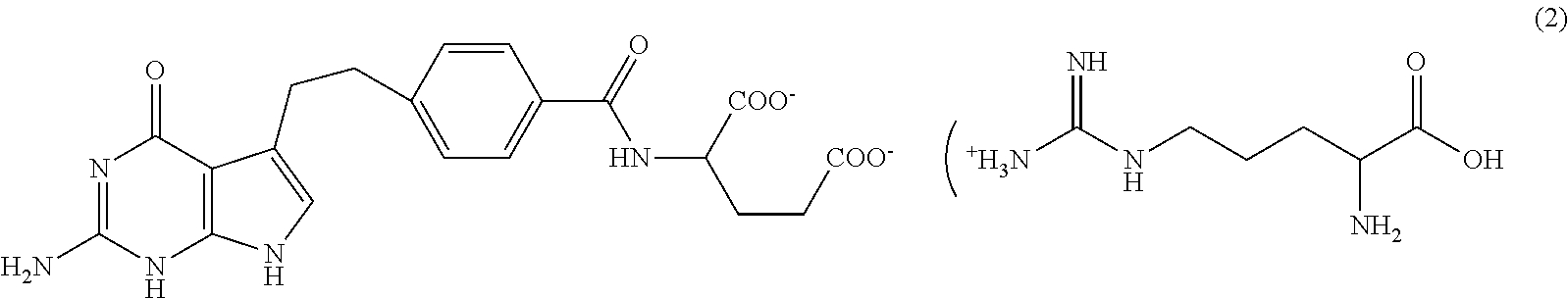
   Химична структура  

Търговско наименование   Търговско наименование     

Търговските имена са примерни и съставът на помощните вещества може да бъде различен в зависимост от държавата и лабораториите

Pemetrexed Mylan Франция
Pemetrexed Ohre Pharma Франция
Pemetrexed Zentiva Франция

Фактори, повлияващи стабилността   Инжекция/Инжекционен   Фактори, повлияващи стабилността : Pemetrexed diarginine        
Няма данни

  Mentions Légales