Τελευταία ενημέρωση :
27/01/2026
φάρμακο κατά του καρκίνου   Pemetrexed diarginine  
Ενέσιμο
Σταθερότητα διαλυμάτων Σταθερότητα σε μίγματα Παράγοντας που επηρεάζει τη σταθερότητα Συμβατότητες Τρόπος χορήγησης Βιβλιογραφία pdf
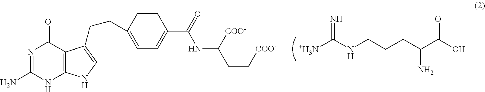
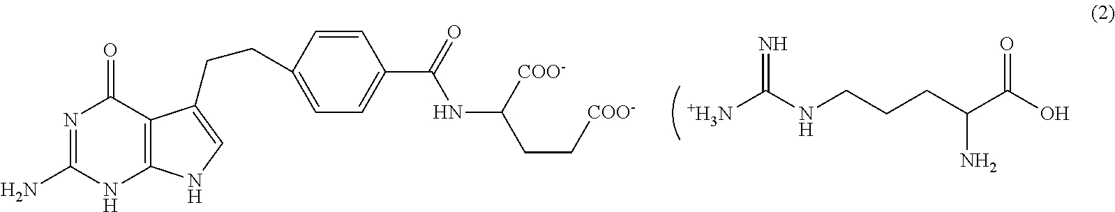
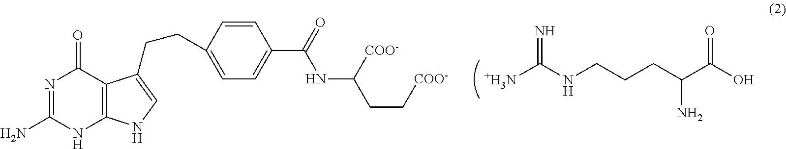
   χημική δομή  

Εμπορική ονομασία   Εμπορική ονομασία     

Οι εμπορικές ονομασίες είναι ενδεικτικές και η σύνθεση των εκδόχων μπορεί να διαφέρει ανάλογα με τη χώρα και τα εργαστήρια

Pemetrexed Mylan Γαλλία
Pemetrexed Ohre Pharma Γαλλία
Pemetrexed Zentiva Γαλλία

Παράγοντας που επηρεάζει τη σταθερότητα   Ενέσιμο   Παράγοντας που επηρεάζει τη σταθερότητα : Pemetrexed diarginine        
Δεν υπάρχουν πληροφορίες

  Mentions Légales