Última actualização :
27/01/2026
droga contra o câncer   Pemetrexed diarginine  
injetável
Estabilidade em soluções simples Estabilidade em misturas Factores que afectam a sua estabilidade Compatibilidade Método de administração Bibliografía pdf
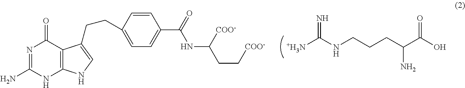
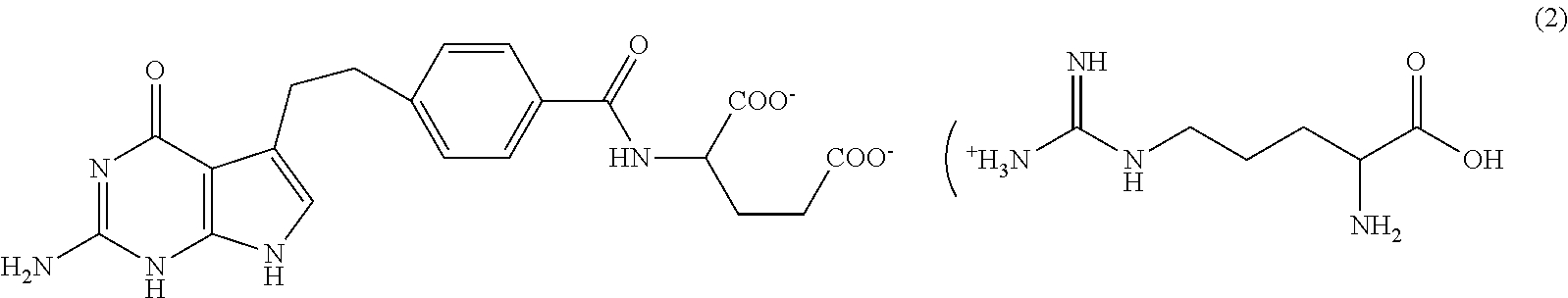
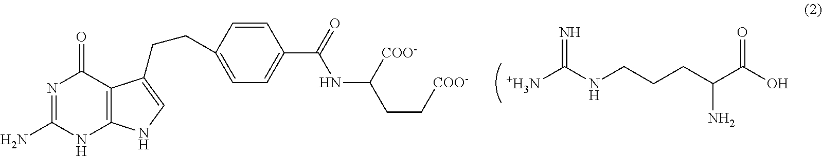
   estrutura química  

Nomes comerciais nos diversos países   Nomes comerciais nos diversos países     

OS NOMES COMERCIAIS SÃO INDICATIVOS E OS EXCIPIENTES DA FORMULAÇÃO PODEM SER DIFERENTES CONFORME O PAÍS E FABRICANTE.

Pemetrexed Mylan França
Pemetrexed Ohre Pharma França
Pemetrexed Zentiva França

Factores que afectam a sua estabilidade   injetável   Factores que afectam a sua estabilidade : Pemetrexed diarginine        
Ausência de dados

  Mentions Légales