Ostatnia aktualizacja :
05/12/2025
Infostab
Listy
Listy
Szukaj zgodności
Tabela kompatybilności Y-site
Bibliografia
Zespoły badawcze
valistab
plakat
Połączenia
sponsorzy
Autor
Przewodnik użytkoywnika
Biuletynu
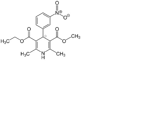
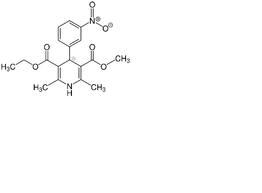
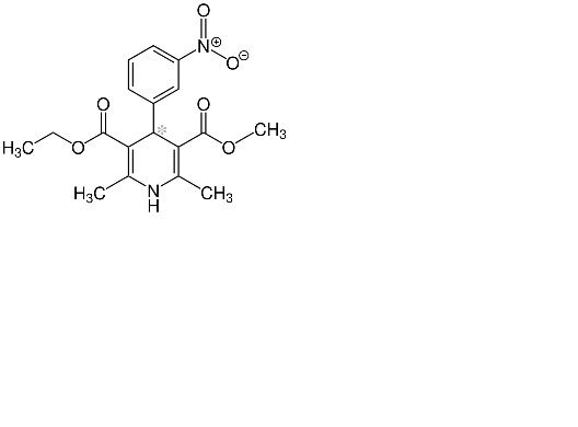
Nitrendipine
Struktura chemiczna
Stabilność preparatów farmaceutycznych : Nitrendipine
500 mg
Nidrel®
SyrSpend SF PH4®
>> 100 ml
23-25°C
90
4087
Mentions Légales