Siste oppdatering :
27/04/2026
Infostab
Lister
Sammendrag
Søk etter kompatibilitet
Y-side kompatibilitetstabell
Referanser
Forskerteamet
valistab
plakat
Tilkoblinger
sponsorer
Forfatter
Instruksjon
Nyhetsbrev
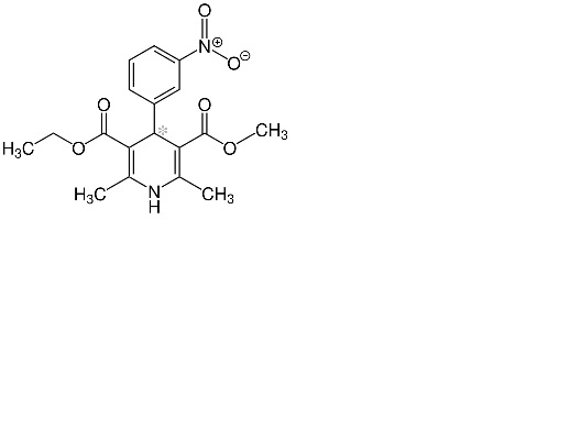
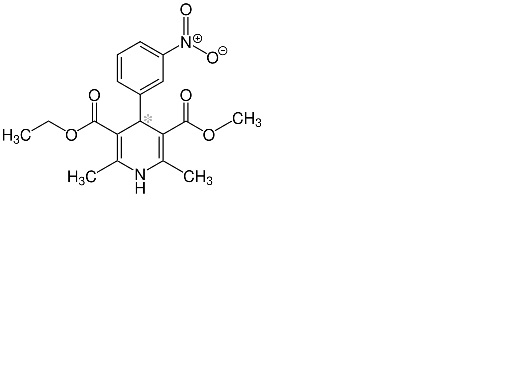
Nitrendipine
Kjemisk struktur
Stabilitet av farmasøytiske preparater : Nitrendipine
500 mg
Nidrel®
SyrSpend SF PH4®
>> 100 ml
23-25°C
90
4087
Mentions Légales