Poslední aktualizace :
05/12/2025
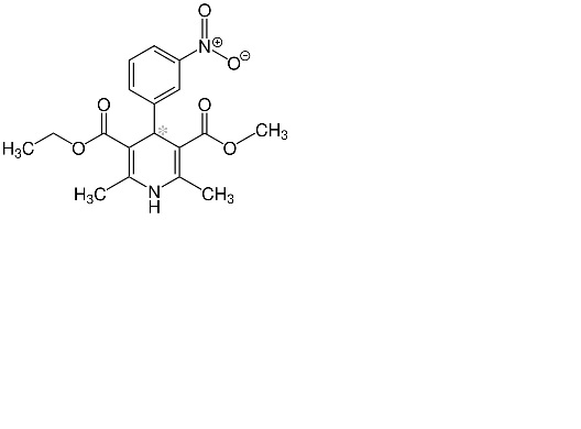
Antihypertenzivum   Nitrendipine  
Perorální roztok
Stabilita farmaceutických přípravků Stabilita směsí Faktory ovlivňující stabilitu Kompatibilita Odkazy pdf
   Chemický vzorec  

Perorální roztok
Stabilita farmaceutických přípravků   Perorální roztok   Stabilita farmaceutických přípravků : Nitrendipine     
Obal Origine Pomocné látky Teplota Uchovávání Trvání stability Odkazy
Sklo tablety 500 mg
Nidrel®
SyrSpend SF PH4® >> 100 ml
23-25°C Chráněno před světlem
90 Den
4087


  Mentions Légales