Last update :
27/04/2026
Antihypertensive   Nitrendipine  
Oral solution
Stability of pharmaceutical preparations Stability of mixtures Factors which affect stability Compatibility References pdf
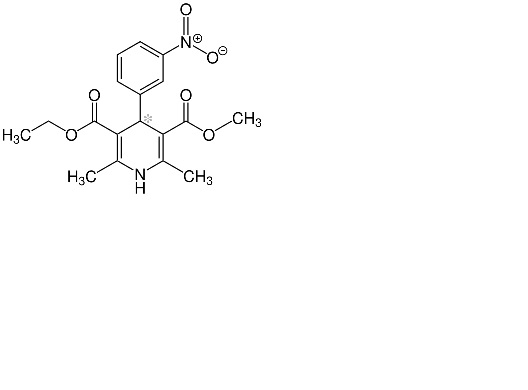
   Chemical structure  

Oral solution
Stability of pharmaceutical preparations   Oral solution   Stability of pharmaceutical preparations : Nitrendipine     
Container Origine excipient Temperature Storage Duration of stability References
Glass tablets 500 mg
Nidrel®
SyrSpend SF PH4® >> 100 ml
23-25°C Protect from light
90 Day
4087


  Mentions Légales