Letztes “update” :
27/04/2026
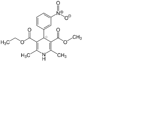
Antihypertonikum   Nitrendipine  
Lösung zum Einnehmen
Stabilität von pharmazeutischen Präparaten Gemengestabilität Stabilitätbeeinflussende Faktoren Kompatibilitäten Literaturverzeichnis pdf
   Chemische Struktur  

Lösung zum Einnehmen
Stabilität von pharmazeutischen Präparaten   Lösung zum Einnehmen   Stabilität von pharmazeutischen Präparaten : Nitrendipine     
Behälter Origine Hilfsstoff Temperatur Konservierung Dauer der Stabilität Literaturverzeichnis
Glas Tabletten 500 mg
Nidrel®
SyrSpend SF PH4® >> 100 ml
23-25°C Ohne Licht
90 Tag
4087


  Mentions Légales