Pēdējā atjaunošana :
27/01/2026
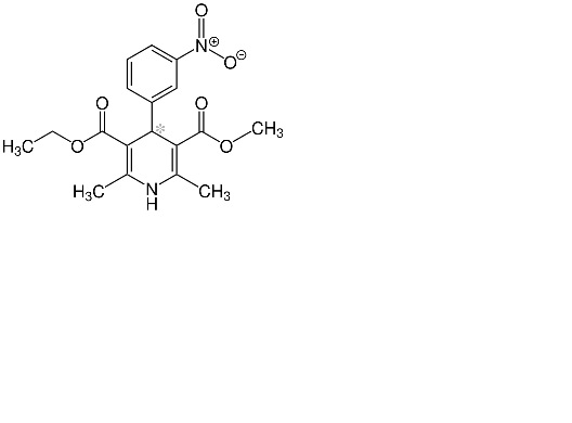
Antihipertensīvs   Nitrendipine  
Orāls šķīdums
Stabilitāte farmaceitisko preparātu Maisījuma stabilitāte Stabilitāti ietekmējoši faktori Saderība Literatūras saraksts pdf
   Ķīmiskā uzbūve   

Orāls šķīdums
Stabilitāte farmaceitisko preparātu   Orāls šķīdums   Stabilitāte farmaceitisko preparātu : Nitrendipine     
Iepakojums Origine Palīgviela Temperatūra Glabāšana Stabilitātes ilgums Literatūras saraksts
Stikls Tabletes 500 mg
Nidrel®
SyrSpend SF PH4® >> 100 ml
23-25°C Aizsargāt no gaismas
90 Diena
4087


  Mentions Légales