Τελευταία ενημέρωση :
05/12/2025
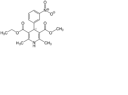
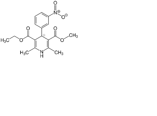
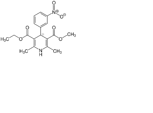
Αντιϋπερτασικό   Nitrendipine  
Πόσιμο διάλυμα
Σταθερότητα και συμβατότητα των φαρμάκων Σταθερότητα σε μίγματα Παράγοντας που επηρεάζει τη σταθερότητα Συμβατότητες Βιβλιογραφία pdf
   χημική δομή  

Πόσιμο διάλυμα
Σταθερότητα και συμβατότητα των φαρμάκων   Πόσιμο διάλυμα   Σταθερότητα και συμβατότητα των φαρμάκων : Nitrendipine     
Υποδοχέας Origine Έκδοχο Θερμοκρασία Αποθήκευση Διάρκεια σταθερότητας Βιβλιογραφία
Ύαλος Δισκία 500 mg
Nidrel®
SyrSpend SF PH4® >> 100 ml
23-25°C Προστατεύετε από το φως
90 Ημέρα
4087


  Mentions Légales