Son güncelleme :
27/01/2026
Antiemetik   Prochlorperazine edysilate  
burun damlaları
Enjeksiyon
Farmasötik preparatlar Kararlılığı Karışımlardaki stabilitesi Stabiliteyi etkileyen faktörler Uyumluluk Kaynaklar pdf
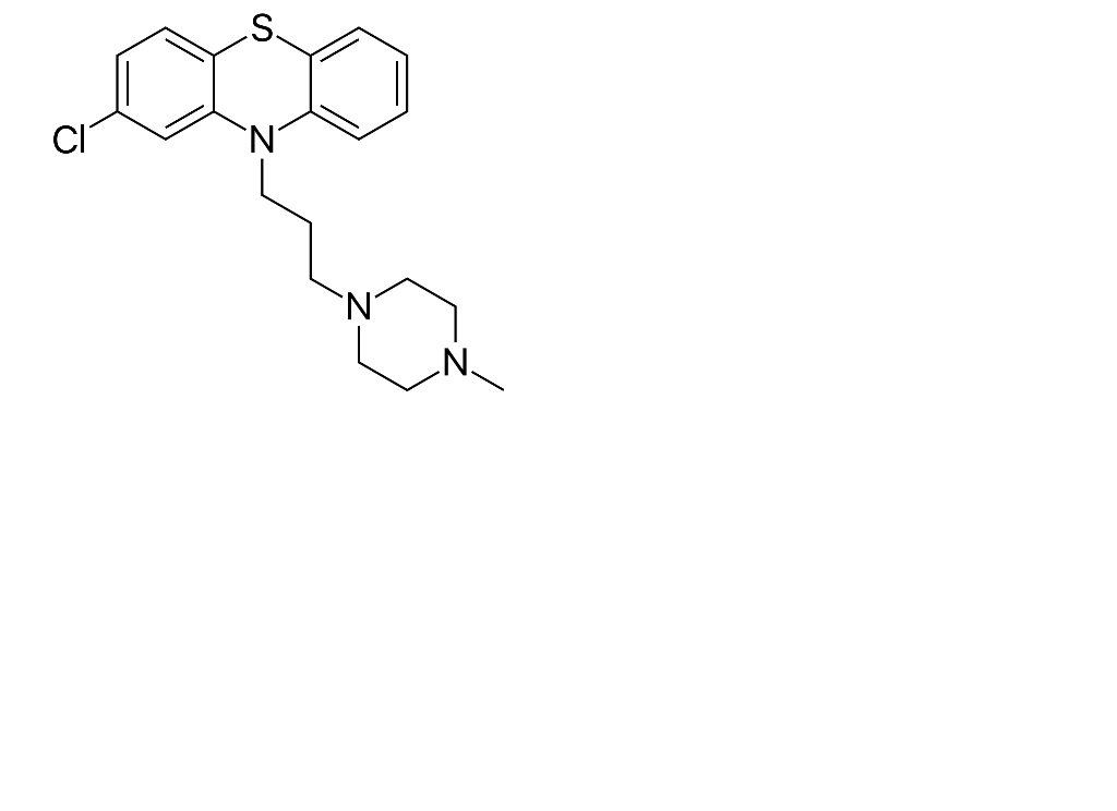
   Kimyasal yapı   

burun damlaları
Farmasötik preparatlar Kararlılığı   burun damlaları   Farmasötik preparatlar Kararlılığı : Prochlorperazine edysilate     
Saklama kabı Origine yardımcı madde Isı Saklama    Stabilite süresi Kaynaklar
Plastik şişe Toz 250 mg
Sitrik asit 5 mg
% 0.9 NaCl 450 mg
Arıtılmış su >> 50 mL
Hidroklorik asit 0.1N pH 2.5
22°C Işıktan koruyunuz
60 Gün
4054


  Mentions Légales