Ultimo aggiornamento :
27/01/2026
Antiemetico   Prochlorperazine edysilate  
gocce nasali
Iniezione
Stabilità dei preparati farmaceutici Stabilità in miscela Fattori che influenzano la stabilità Compatibilità Bibliografia pdf
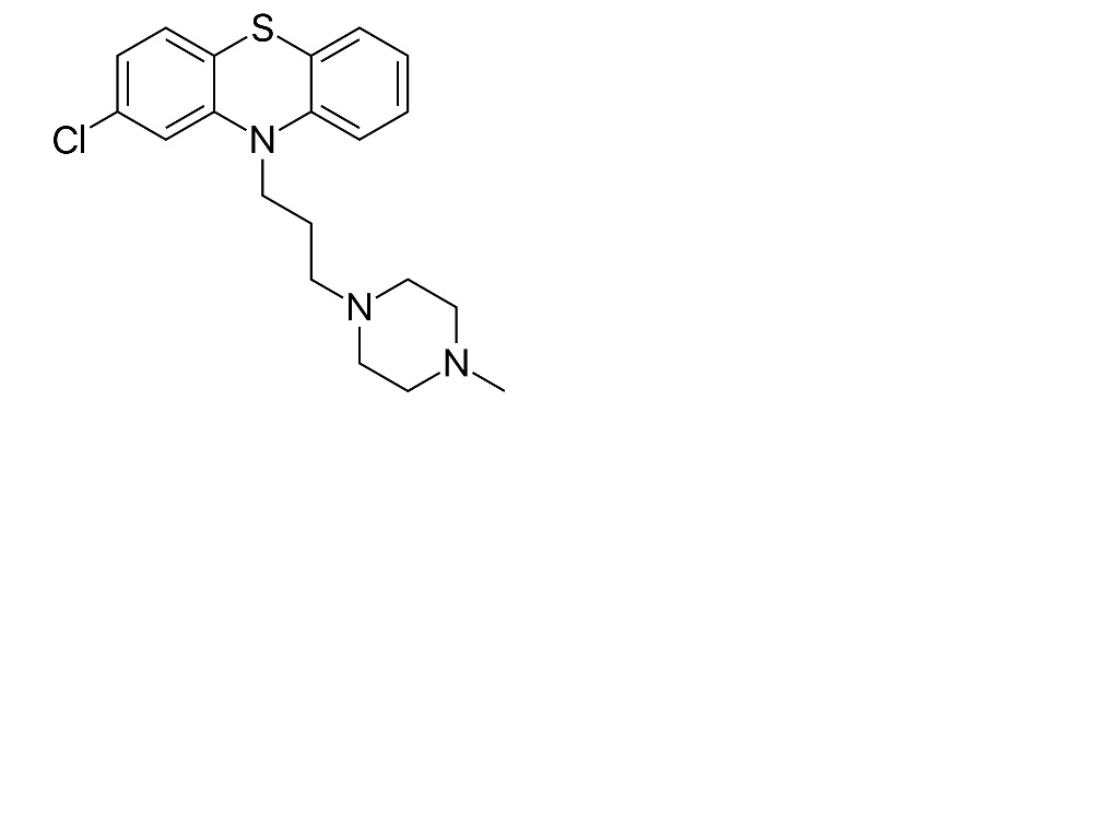
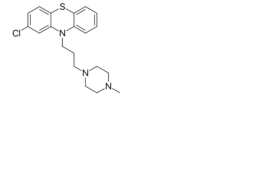
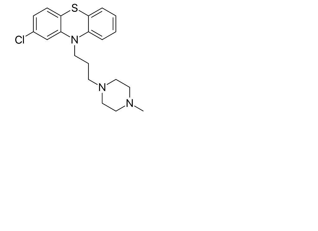
   Struttura chimica  

gocce nasali
Stabilità dei preparati farmaceutici   gocce nasali   Stabilità dei preparati farmaceutici : Prochlorperazine edysilate     
contenitore Origine eccipiente Temperatura Conservazione Durata della stabilità Bibliografia
bottiglia di plastica polvere 250 mg
acido citrico 5 mg
NaCl 0.9% 450 mg
Acqua depurata >> 50 mL
acido cloridrico 0.1N pH 2.5
22°C Al riparo dalla luce
60 Giorno
4054


  Mentions Légales