viimane versioon :
18/03/2026
antiemeetikum   Prochlorperazine edysilate  
ninatilgad
Süsteravim
Stabiilsust ravimpreparaadid Stabiilsust mõjutavad tegurid stabiilsust mõjutavad faktorid Sobimatus Viited pdf
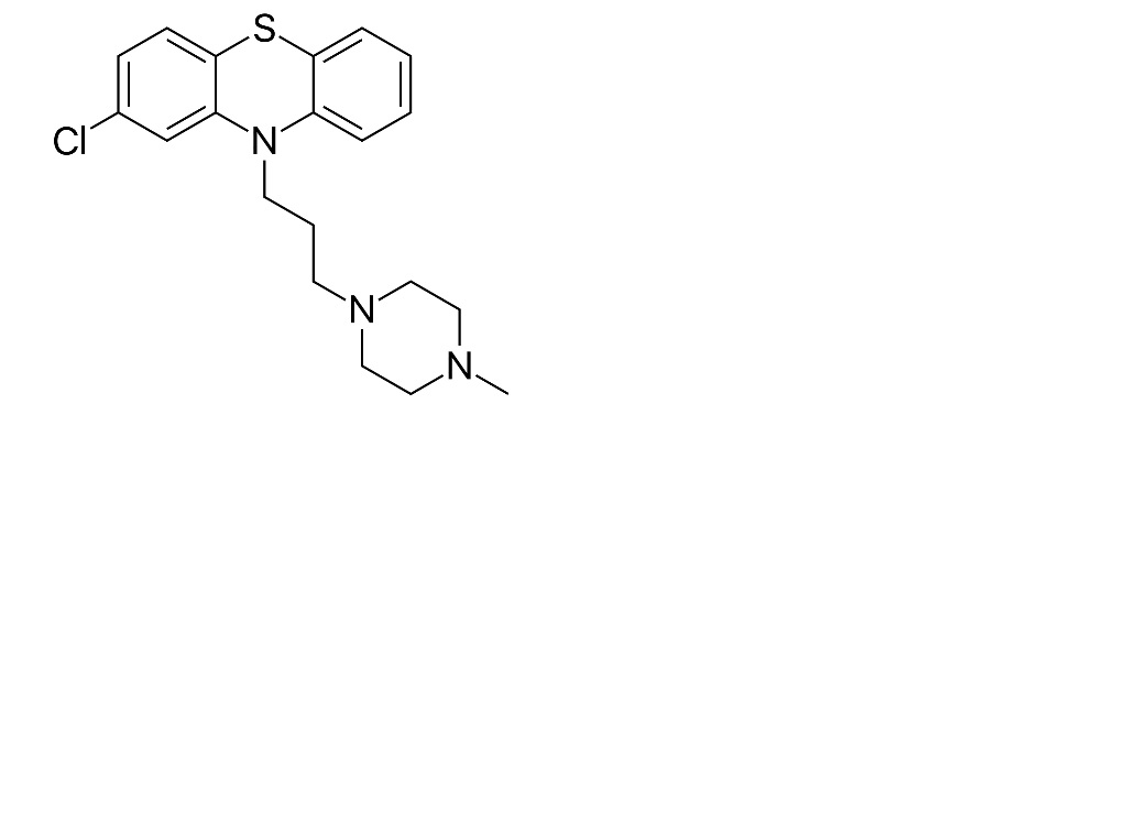
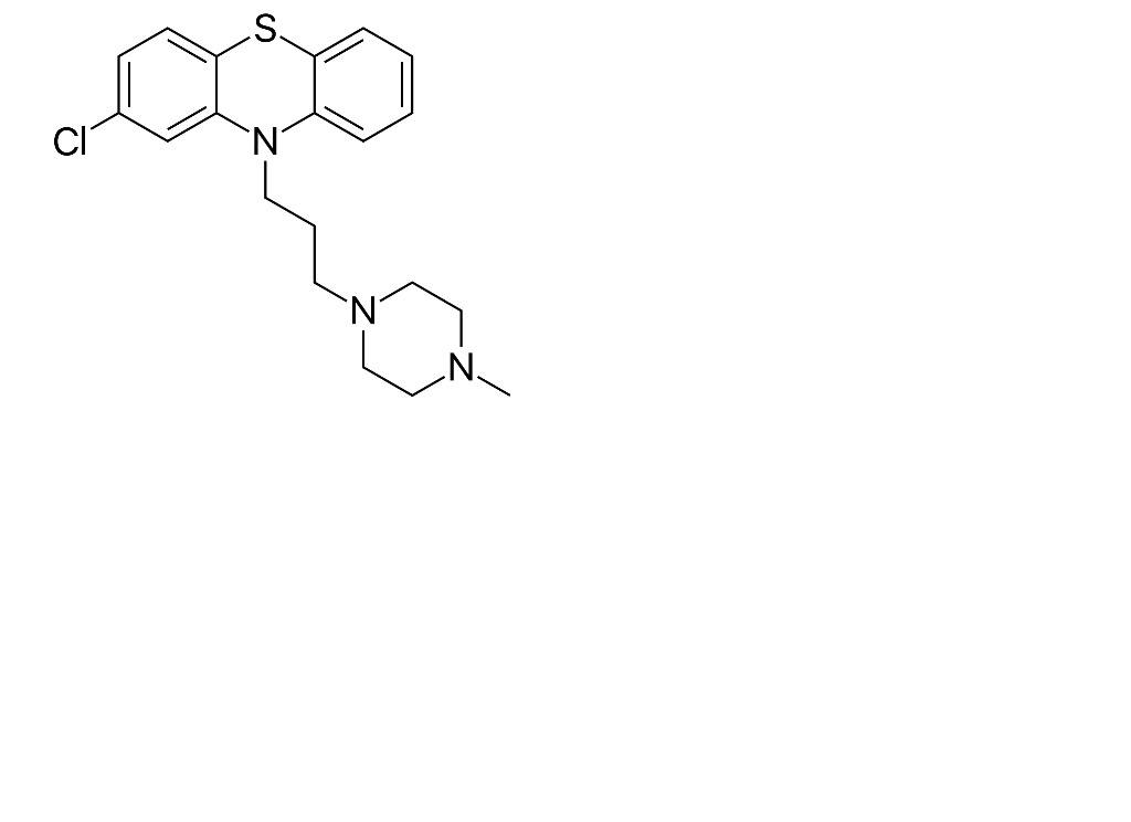
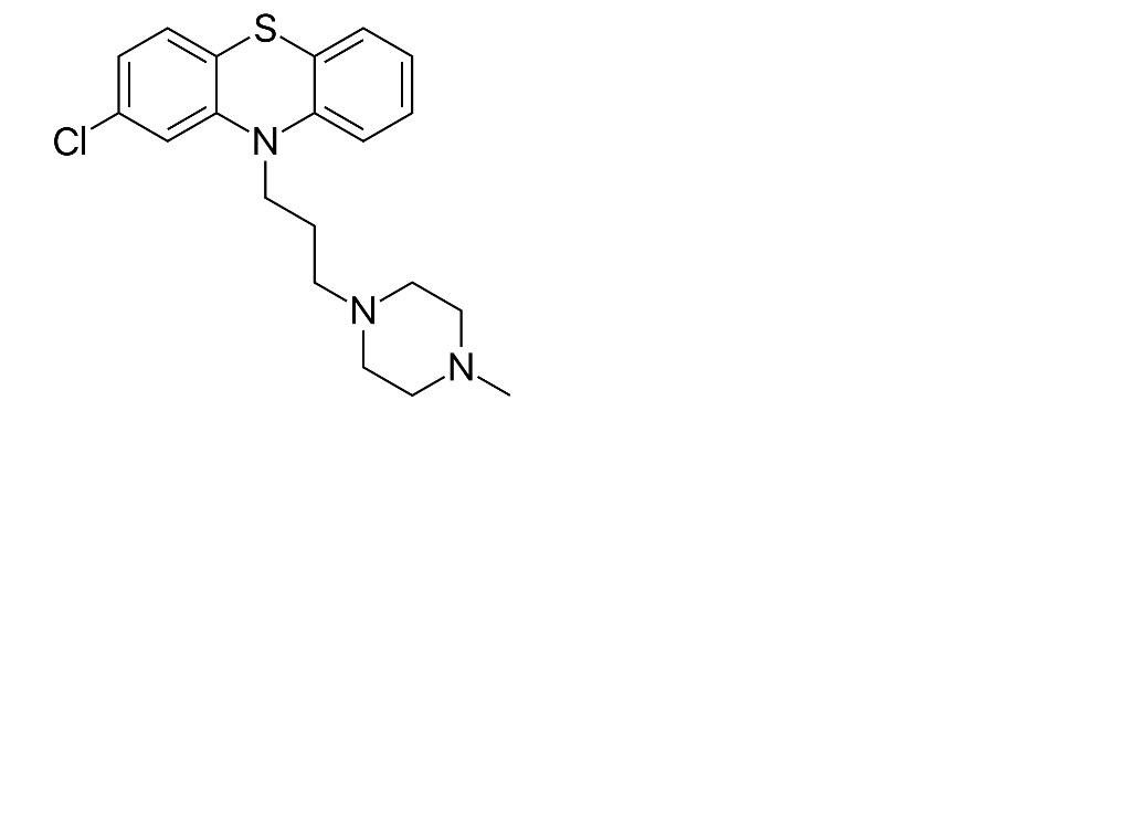
   keemiline struktuur  

ninatilgad
Stabiilsust ravimpreparaadid   ninatilgad   Stabiilsust ravimpreparaadid : Prochlorperazine edysilate     
konteiner Origine  abiaine temperatuur ladustamine Stabiilsuse kestus Viited
Plastikpudel pulber 250 mg
sidrunhape 5 mg
NaCl 0.9% 450 mg
Puhastatud vesi >> 50 mL
vesinikkloriidhape 0.1N pH 2.5
22°C kaitsta valguse eest
60 päev
4054


  Mentions Légales